小木虫
登陆
|
注册
首页
导读
期刊
发现
社区
招聘老师
当前位置:
小木虫首页
>> 有机
有机化学真的很累吗?
向阳李小花
想问一下,考研选择有机化学方向真的很累吗?
有机
900
18
求教:如何不通过柱层析来提纯产物
一眼万年NKU
如图所示,本人想合成溴代Boc产物,反应完后会大量剩余原料,少量生成两边均上Boc的副产物。其中,室温下原料为固体,产物和副产物为油状液体。原料和产物沸点均较高(200℃...
有机
900
18
请问α-羟基酸中羟基的脱除该怎么操作?
lymfrank
本人在做α-羟基酸中羟基的脱除,即羟基脱除后变成亚甲基,请问各位有什么好的方法或文献可以借鉴?谢谢!
有机
450
9
关于西他列汀中间体的合成问题
自由人C
本人在做西他列汀中间体的时候,一锅法用2,4,5-三氟苯乙酸跟米氏酸形成米氏酸中间体,然后再加入侧链(3-三氟甲基-5,6,7,8-四氢-[1,2,4]三唑[4,3-a]...
有机
600
12
请问酚羟基怎么连一个带氨基的基团?
加油姑娘何
想通过酚羟基连上一个碱性大的氨基基团,氨基要暴露出来,不能是酯键,因为在体内易水解。有没有大神给个方向指点一下,现在比较迷茫。感激涕零!
有机
250
5
OTs的离去问题
lcm201
为了让不容易反应的仲羟基变为好反应的伯羟基,首先进行了磺酰化,但第二步反应不知怎么进行,反应的条件加入碳酸钾,DMF做溶剂,感觉不反应,是否需要用钠氢,还是什么条件,求大...
有机
500
10
请问联苯四甲酸易溶于DMF吗?
林一啊
请问联苯四甲酸易溶于DMF吗?
有机
150
3
有大神能告诉我氯苯能和草酸反应么
Arwenest
想知道氯苯能和草酸反应么,如果可以什么条件生成什么
有机
550
11
这个季节怎么用叔丁醇反应体系怎么点板啊?
安安妙妙
毛细管一从体系拿出来就,点板时候就凝固了堵住管子,点不出液体。我们这里这几天3-5°左右
有机
200
4
求助脱叔丁酯保护生成羧酸的办法
纳小子
有大神能提供一下脱叔丁酯保护生成羧酸的办法吗,已经试过TFA/DCM和硫酸的体系了,TFA的体系中是否有对TFA浓度的要求文献中提到的是1当量的底物加32eq.的DCM和...
有机
150
3
考博毕业论文进展报告怎么写?
yao291598
马上考博,毕业论文进展报告如何写?求有经验的小伙伴分享一下?我的毕业论文已写完,但是这个进展报告不知如何下手。我是应届生
有机
5800
116
生物基奇数碳二元醇合成醚的相关问题
gddu2646
有大佬可以推荐一下相关的文献吗?或者可以回答一下二元醇如何尽量避免消除反应成烯醇和成环反应,最终脱水成醚呢?
有机
500
10
李艳梅清华有机化学视频配套ppt
牧鹿小人儿
各取所需,资源共享!链接:'https://pan.baidu.com/s/18PPeUl---9fpU_Hi6O_ItA'提取码:9q7m
有机
1950
39
CD用不了氢谱功能
易晶2013
哪位大牛知道这是什么原因,求解
有机
2000
40
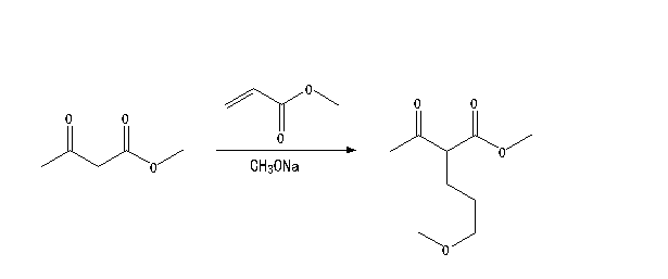
丙烯酸甲酯和乙酰乙酸甲酯迈克尔加成问题
Phelps00
丙烯酸甲酯和乙酰乙酸甲酯,在甲醇溶剂,甲醇钠作用下迈克尔加成,丙烯酸甲酯和乙酰乙酸甲酯mol比1,甲醇钠mol比0.2,但这个反应式有副反应,GC-MS打出来有一个M25...
有机
300
6
求助最新Chem draw画图软件,不是最新的也可以,能用就行。
qian1988
求助最新Chemdraw画图软件,不是最新的也可以,能用就行。
有机
600
12
4-羟基环己甲酸甲酯还原为醇后处理
李小宁ln
构型为顺反混合的,用的氯化钙跟硼氢化钠反应的,溶剂为四氢呋喃跟乙醇,反应完用稀盐酸破坏完蒸溶剂跟水,基本蒸干加乙醇溶解过滤蒸干后半液半固的状态,请问有啥好一点的处理方法吗?溶剂难蒸干,还有怎么除盐
有机
550
11
对氯三氟甲苯氨解问题
lkb021024
最近在做一个对氯三氟甲苯二甲胺氨解的反应,做了几次都不反应,大神帮忙看看是不是工艺设计有问题,具体操作如下对氯三氟甲苯,和二甲胺水溶液(40%)一起加入高压釜中,最后投入片碱,封闭高压釜,升温到80到100℃,此时压力在4-5公斤,保温反应10小时,后取样,几...
有机
200
4
请问文献里的sodium ammonium chloride是指的什么呢?
古明地觉
原文献是一个用NaH还原羧基的反应,最后写的是用“sodiumammoniumchloride”进行淬灭。百度和谷歌搜索都没有找到明确说明sodiumammoniumchloride是何物的结果,请问这里有大佬知道吗
有机
150
3
请教选择性还原羧酸,不还原酮的方法
cui0727
反应如图所示,请问有什么方法可以还原羧酸或羧酸衍生物,但酮不受影响呢?我想到把酮变为缩酮,但是乙二醇和对甲苯磺酸,甲苯中回流,产物太少了,不知道是不是位阻影响。大家有还原...
有机
200
4
能否帮忙排下丙三醇、葡萄糖、脂肪酸钠这三者的极性大小?
chemlaw
能否帮忙排下丙三醇、葡萄糖、脂肪酸钠这三者的极性大小?
有机
300
6
产物中裹夹乙腈怎么除掉
lxq小刀
产物中裹夹乙腈怎么除掉,产物已经很纯了
有机
2400
48
溶于石油醚(30~60)的油脂,在冰箱一个寒假为什么会变成这个样子?
ZaneWills
个人怀疑:只是由于溶剂挥发,导致其中的油脂结团了。还是说变质了?后续应该怎么处理呢?请大神指点一二。
有机
150
3
求助国内生产30%甲醇钠质量比较好的厂家
jeff8554
最近做实验,用到30%甲醇钠,开始是用试剂级的,挺好用,可是要放大了,换成工业级的,就不行了,实验证明是甲醇钠有问题。求助国内生产30%甲醇钠质量比较好的厂家?知道的大神请留言告知下哦。不想自己制备甲醇钠,危险性太高。
有机
1100
22
光降解,求辐射强度
Easheryan
科研小白,要做光降解实验,看文献都是用w/m2,表示光照条件的强度,买了300w的灯,在0.9m2的箱子里光照,不知道怎么求辐射强度,还是直接用仪器测量的,求指导!
有机
5500
110
透明质酸盐如何制成透明质酸
落叶·秋风
手里有一点透明质酸盐,但是反应需要透明质酸,用乙醇和水的混合溶液溶解之后,加1N盐酸调,没析出沉淀,请教各位如何制成酸呢?
有机
150
3
脱BOC保护的后处理问题
fzce4499
制备的二嵌段两亲性共聚物,疏水段是ph响应的,亲水段带有boc保护基想脱boc保护,得到氨基用tfa/dcm体系,搅拌4h后,倒出溶液,瓶底残余粘稠透明物,旋蒸用dmf复...
有机
400
8
各位大佬,请问怎么合成这种物质更好
木心LDB
各位大佬,请问怎么合成这种物质更好
有机
150
3
硅氢碱性条件下,50℃, 缩合?
stll
我做有机硅灌封胶,在除去含氢硅油和氢氧化铝里面的水的时候,发现含氢硅油,氢氧化铝(pH9左右)混合后,在55摄氏度以上,-0.095真空下,有气泡放出.刚开始以为是水汽,后来发现一直有,2个小时都除不尽(一般除水我45℃只要1个小时),怀疑是含氢硅油在碱性环境...
有机
150
3
噻吩硼酸suzuki偶联
xguogky
请问一下2-噻吩硼酸和1-碘-4-硝基苯用四三苯基膦钯做催化剂容易进行suzuki反应么?刚刚接触有机,做了几次噻吩硼酸的偶联反应,感觉很难进行。
有机
400
8
30902
1 ...
‹‹
26
27
28
29
30
31
››
... 1031
板块导航
网络生活
育儿交流
健康生活
有奖问答
资源共享
课件资源
试题资源
化学化工
有机
高分子
无机物化
分析
催化
工艺技术
化工设备
化工
精细化工
电化学
环境
专业学科
机械
物理
数学
农林
食品
地学
能源
信息科学
理工农林
科研生活
博后之家
专业外语
外语学习
导师招生
找工作
招聘信息
考研
考博
公务员
生物医药
新药研发
药学
药品生产
分子生物
微生物
动植物
生物科学
医学
材料
材料
材料工程
微米纳米
晶体
金属
非金属
生物材料
功能材料
复合材料
计算模拟
第一原理
量子化学
计算模拟
分子模拟
仿真模拟
程序语言
学术交流
论文投稿
基金申请
学术会议
出国留学
留学生活
公派出国
访问学者
海外博后
留学DIY
签证指南
出国考试
海外院所
注册执考
化工工程师
执业药师
执业医师
环境工程师
会计师
注册考试
24小时热帖
换一批
266求调剂
4
请问大家,研究风险与应对措施那里, 大家都怎么写呢 ?
3
理学,工学,农学调剂,少走弯路,这里欢迎您!
11
接收调剂
22
085700资环求调剂,初始279,六级已过,英语能力强
4
应助之星
caszguilin
+关注
ms629
+关注
houyaoxu
+关注
北京莱茵润色
+关注
babero
+关注
下载小木虫APP
与700万科研达人随时交流
二维码
IOS
安卓
欢迎监督和反馈
:小木虫仅提供交流平台,不对该内容负责。
欢迎协助我们监督管理,共同维护互联网健康,违规贴举报删除请联系邮箱:xiaomuchong@tal.com
(点此查看侵权举报方式)
我们保证在7个工作日内给予处理和答复,谢谢您的监督。
©2001-2026 muchong.com,小木虫
京ICP备16008351号
京公网安备 11010802022153号
Copyright © 2001-2026 muchong.com, All Rights Reserved. 小木虫 版权所有