当前位置:小木虫首页 >> 金属

准静态单轴拉伸

Mr浅笑
Strainrate应变率低的准静态单轴拉伸,和标准单轴拉伸(应变率稍大,拉伸速率一般为1到3mm/min)相比,①有什么优势。②它们使用的仪器有哪些区别。③具体选择应变率的参考标准是什么。
金属
  • 2500
  • 50

各位大师有谁知道这个什么组织或者夹杂物?

JXXIAOBAI
195L卷板边部缺陷,腐蚀后有类似针状的东西,抛光时没有,请问是什么?
金属
  • 300
  • 6

铜表面射频磁控溅射镀铝

三水有相逢
请问高手,我用射频磁控溅射的方法在铜上镀铝,真空度6*10^-4,溅射的压强为1.0pa,溅射的功率100w,靶基距8cm。溅射时间40分钟以上。分别在不同的温度下(50,100,150,200,400,500摄氏度)进行实验,每次都能正常起辉。但是沉积温度在...
金属
  • 250
  • 5

镁合金固溶处理完以后发现样品粘在一起了,掰不开,怎么解决?

贝壳持儿
镁合金固溶处理完以后发现样品粘在一起了,掰不开,怎么解决?
金属
  • 350
  • 7

奥氏体不锈钢室温冲击

Mr浅笑
316普通钢板(正常钢板)做室温冲击,尺寸为2.5×10×55mm。我们都明确知道316的韧性非常好。那么结合下图,可以判定冲击过程中只出现稳定的裂纹扩展吗?到底算E型还...
金属
  • 2500
  • 50

奥氏体不锈钢的室温冲击力位移曲线

Mr浅笑
316普通钢板(正常钢板)做室温冲击,尺寸为2.5×10×55mm。众所周知,316的韧性非常好。那么结合下图,可以判定冲击过程中只出现稳定的裂纹扩展吗?这个曲线到底算E...
金属
  • 2500
  • 50

铜表面溅射镀铝薄膜怎么看截面

三水有相逢
在铜片上磁控溅射镀铝膜后要怎么看截面啊?因为铜的延展性比较好,不知道怎么切割!
金属
  • 400
  • 8

DSC测试薄膜为什么没有峰

ws4231153
如图,我是用硅做衬底溅射的薄膜,想去测试一下DSC,但是测试出来的数据没有峰,按道理来说在200度左右和750度左右会各有一个吸热和放热峰,刻蚀为什么现在什么峰都没有呢?...
金属
  • 250
  • 5

求助:东北大学 在金属材料腐蚀方向 做的比较有名气的老师?

s20070537
求助:东北大学在金属材料腐蚀方向做的比较有名气的老师?
金属
  • 250
  • 5

Q500qE金相分析

xmcnmml
请问各位大佬,下面金相图(Q500qE,硝酸酒精腐蚀,放大500X)中:黑色部分为粒状贝氏体与MA岛,白色部分为铁素体。这样分析对吗?
金属
  • 500
  • 10

请大神赐教铝合金搅拌摩擦焊

痴情浪子19
最近工作涉及铝合金搅拌摩擦焊,初次接触搅拌摩擦焊,不是太懂,请大神推荐点相关的书籍资料。谢谢!有没有大神焊过2219铝合金25mm厚,搅拌摩擦焊单面焊,抗拉强度老是过不了母材的75%,求赐教!
金属
  • 250
  • 5

求助,裂纹内夹杂物问题

JXXIAOBAI
如何区分裂纹内是夹杂物还是其他的如镶嵌料等?裂纹内氧化铁上黑色的是夹杂物吗?
金属
  • 500
  • 10

关于镁合金在Hall Patch公式中K值的取值问题

Dssgsb
实验中需要用公式计算晶界强化,打算分别计算变形晶粒(挤压形成基面织构)和再结晶晶粒的晶界强化贡献,但两者K值不同,有大佬解答一下K值具体分别为多少或者有什么文献能参考一下
金属
  • 350
  • 7

W(Cr)固溶体的制备

201214760216
HongSF,LuZC,LiuYH,etal.RapidSynthesisofW–CrSolid–SolutionbyDielectric-BarrierDischarg...
金属
  • 550
  • 11

316L烧结后表面颜色

罗纳尔多
316L在1400℃真空埋烧(上面埋的少一些)后,出现了两种颜色光泽。上面一小截及上表面呈银灰色金属光泽,而小面大部分呈黄色金属光泽,而且两部分的收缩不一样。刚做不锈钢粉烧结不清楚什么状况,是不是过烧还是有元素在表面富集,希望大神们指点一下。谢谢
金属
  • 450
  • 9

ebas分析软件channel5求助

mjw0329
怎么改变零解析区域(zerosolutions)颜色,默认是绿色的,可以变成黑色吗?
金属
  • 350
  • 7

双束条件下如何确定位错滑移面滑移系

五彩斑斓
小白,对于如何分析位错的晶体学信息来确定位错类型和滑移系信息一点也不懂。请高手帮助。我是否可以通过附图中的信息确定材料是否发生了多滑移,是否可以确定位错滑移系等信息。请大...
金属
  • 150
  • 3

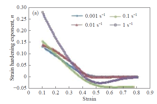
应变硬化指数n值

SpSuN_dlut
各位虫友好,最近看文献对于应变硬化指数(n)求法有些迷惑:按照教材(Hollomon公式)直接做ln-ln图,斜率即为n值。为什么很多文献将ln-ln求导后求出很多n值呢...
金属
  • 350
  • 7

3D打印的粉末利用问题

榴莲大大
制粉后过筛出来的不满足要求的粗粉(钛粉),除了积仓库以外有没有大神能给点处理方法。
金属
  • 450
  • 9

铬钢粉末压片分层,压力无论大小都分层(求助)

Jayson_Ray
铬钢粉经过球磨——120目过筛后,加粘结剂研磨5分钟,然后压片(冷压)总是出现分层的情况(如图,靠近下模处总是掉一块下来)文献大多用650~700MPa,我从550~75...
金属
  • 350
  • 7

虫友们,请问原始奥氏体的翻译

鬼魅残功
originalaustenite和prioraustenite有区别吗
金属
  • 200
  • 4

gleeble热压缩数据可以用于蠕变模型吗

Susan溜溜
用gleeble热压缩测得不同应变率下的应力应变曲线,请问可以将这些应力应变曲线用于蠕变模型(Norton-Bailey)吗,请问真应变中的塑性变形如何去除?
金属
  • 500
  • 10

老师您好,请问如何用EBSD统计晶界长度呢

一如从前微风
老师您好,请问如何用EBSD统计晶界长度呢comma
金属
  • 150
  • 3

铝合金拉伸曲线

martely
下图是同一种Al-Si合金的拉伸曲线,其中斜率低的两种有经过变质,应变小的那个曲线是未处理的。但是这三个样品的弹性应变阶段斜率不一样,小弟不太了解具体原因,所以想请教一下...
金属
  • 300
  • 6

电解抛光时有哪些物质能够选择性吸附

disantiaolu
RT电解抛光复合材料时,比如铝材和不锈钢,在通电时,有没有哪类物质只会在铝材上吸附,不在不锈钢上吸附,或者只在钢上吸附,不在铝材上吸附?
金属
  • 850
  • 17

求助哪里能做真空或者惰性气体下高温蠕变实验

boy_tao
请问哪里可以做1200K和1800K真空或者惰性气体下的高温长时蠕变实验
金属
  • 300
  • 6

简单的制备合金方法

fantanst
本人不是高合金方向的,想问下根据二元合金想法,用管式炉加热到二元组成共晶点温度之上,使其成熔融状,是否可以成功制备出金属合金。以锡镁合金为例
金属
  • 150
  • 3

请问哪里可以进行TC4钛合金的 搅拌摩擦 代加工

362751330
需要对TC4钛合金进行搅拌摩擦加工,但是设备达不到要求,现寻求有偿代工,希望虫友们帮助寻找可以进行此类加工的地点或工厂。最简单的加工,平板搅一道次一条直线就行。
金属
  • 300
  • 6

电子束选区熔化打印的TC4工件(抛光问题)

破回忆总想哭
抛光用的是w1.5金刚石抛光剂,抛完之后表面怎么会有坑呢,是不是抛光时间太长了呢?
金属
  • 950
  • 19

求助,钯系合金的电导率该怎么查???

MuZ岩
比如PdAg,PdPt,PdH。。。。
金属
  • 1600
  • 32
应助之星
下载小木虫APP
与700万科研达人随时交流
  • 二维码
  • IOS
  • 安卓