小木虫
登陆
|
注册
首页
导读
期刊
发现
社区
招聘老师
当前位置:
小木虫首页
>> 计算模拟
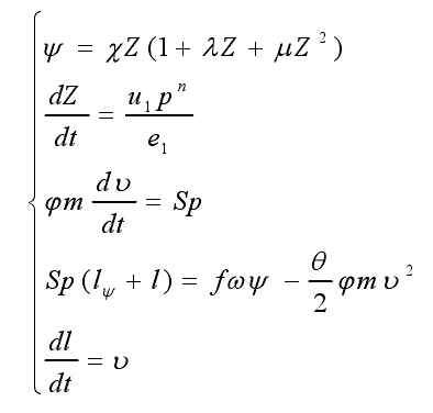
请大佬帮忙看看怎么弄这个
邓玉成ddd
五个方程组有6个变量,文献说以任意一个喂自变量,便可以解出其他量与之的关系。另外我查到使用matlab四阶龙格库塔法会把这个做出来,p-l,p-t曲线是我想要的,但是我刚...
计算模拟
3500
70
环氧树脂体系结构与性能之间的分析软件求助
倚剑白云天
因为工作需要,需要对一部分数据进行软件分析,具体内容如下:分析对象:环氧树脂固化体系,不同环氧树脂/固化剂的组合分析目的:分析固化体系分子结构和固化体系性能之间的关系,关注的性能主要有Tg,弯曲强度,弹性模量等因为自己之前从来没接触过此类软件,想问下大家哪些软...
计算模拟
250
5
fluent 模拟液滴撞击冷表面无法下落
M..W
直径3mm的液滴从中心离地面3mm的高度下落,重力加速度-9.81,下方设置成wall,接触角30°,温度设置成-15℃,其他面设置成压力出口。时间步长1e-6,3000...
计算模拟
400
8
求助《化工过程模拟实训-Aspen Plus教程》第二版课后习题答案
naijihe
如题,求助《化工过程模拟实训-AspenPlus教程》第二版(孙兰义主编)所有课后习题答案。
计算模拟
300
6
有限速率涡耗散模型如何启动
1325742659
问一下诸位大佬,fluent中如何启动有限速率涡耗散模型,用patch生成物的方法反应是有的,但是速率极低,我做的是一个瞬态颗粒燃烧,用patch高温的方法,望各位哥哥姐姐不吝赐教
计算模拟
200
4
有偿求一个计算偶极角度的脚本!!!
ymsw_zzw
有偿求大佬们给一个,或者帮忙写一个可以读取壁面上水分子液滴的偶极与壁面法相所成角的角度的脚本(模拟是用lammps做的),示意图如下(图一,图二)。最后可以画成像(图三或...
计算模拟
200
4
matlab程序, 被调用函数中使用 if 语句出错
hylb3020
clearall;closeall;l=45;alpha1=-0.25;lambda1=0.25;n=128;x=l/n*;kx(1)=1e-6;ky=kx;=meshgrid(kx,ky);h=2*pi/n;column=));column=\';w=1+0...
计算模拟
150
3
为了模拟,自学的matlab,心力憔悴,救救孩子。
东翼
原方程、文献图如图所示。其中R=1;V=1;a=0.1;我模拟的微分模拟图不知道为啥是这样的。微分方程组:functiondu=f(xi,u)%a替换alphasymsRVxiau0u1u2u3du=zeros(4,1);du0=-u0-1./2*V*u1;%...
计算模拟
650
13
comsol优化将时间作为目标函数
tkyrlk
请问有没有做过瞬态过程优化的,怎么将某一变量达到某一值的时刻作为目标函数啊
计算模拟
600
12
用matlab求解方程式
钟声入翠微
假设a和b已知,a,b,x,y0,求解x和ya=[1+(0.0172*x)^2]^(-y/2)b=y*arctan(0.0172*x)希望可以提供程序代码,或者解!非常感谢!
计算模拟
500
10
ANSYS 18.1破解问题求教
zhanglang93
上网查了各种破解方法,可打开后还是这个样子,请高人赐教
计算模拟
250
5
关于扩散活化能的计算
龙战天涯
阿伦尼乌斯方程中应该使用理想气体常数R=8.3145J/mol/K还是波尔兹曼常数KB,傻傻分不清楚,如果说最后得到的活化能的单位是KJ/mol,??那么应该使用R,为啥...
计算模拟
5400
108
微分方程与代数方程联立,参数拟合问题求助
ckm0811
根据以下二式,利用最小二乘法拟合参数a,b,c,从而得到关于P的模型。①P=a*其中a,b,c为待求参数。试验数据lamb和P已知,其中lamb范围为%试验值lambp=;lambv0=1;);fac0=)plot(lamb,p,\'-o\');holdonp...
计算模拟
300
6
MATLAB计算动力学参数时出现误差大的问题
ygqsgc
昨天修改了某个地方导致今天求解参数误差极大,但我看了半天也没找到原因,也忘记昨天修改的什么地方了程序如下,图1是昨天的,图2是今天的,差距有些大,希望大神能够解惑
计算模拟
300
6
求助大神,教我怎么处理EPR数据
752724989
你好,我想问一下怎么处理EPR的数据,我测出来的数据出的峰好多,完全和文献上记载的不一样,所以想咨询一下EPR数据该怎么处理,网上说可以使用MATLAB处理,但是这个软件...
计算模拟
150
3
各位虫友,求一份clayff+Universal和clayff+Dreiding的组合力场,或者编辑的方法
丶千百度
最近在做黏土矿物吸附的模拟,写了一些但是数据量不够又苦于没有合适的力场文件,单力场都算过了数据不好看,觉得需要组合力场试试,所以想看看各位虫友有无分享一下。另外也可以互相...
计算模拟
400
8
1stopt 7参数拟合求助
ckm0811
需要根据两个式子(一个微分方程,一个代数方程)拟合7个未知参数fac(1)~fac(7),网上下载的软件有参数限制,想向有正版软件的朋友求助,帮忙拟合一下。写了两版,程序分别如下。完整程序和数据放在了文件里,不知为什么上传失败,只能贴一下网盘链接,麻烦大家了。...
计算模拟
550
11
Fluent模拟液滴下落
M..W
用fluent模拟液滴下落,同样的设置有时可以正常计算,有的时候液滴速度(先patch,加上了重力加速度)在计算0.0001s的时候发生突变,且液滴无法下落,这会是软件安...
计算模拟
300
6
Material studio 2019
ooptics
请问可以分享windows版的Materialstudio2019的软件吗?谢谢!
计算模拟
200
4
在autodock运行Run Autogrid的时候没有map文件生成,请问该怎么解决啊?
海滨稚子
在autodock运行RunAutogrid的时候没有map文件生成,请问该怎么解决啊?
计算模拟
150
3
Fluent中adapt region设置
tmdv1892
如题,在fluent中采用fadaptregion定义了一个水滴,如何给水滴一个初速度
计算模拟
350
7
香港大学化学系 诚招CADD、化学信息学、AI辅助药物设计方向的硕博研究生和博士后
jiadaigz
香港大学化学系诚招CADD、化学信息学、AI辅助药物设计方向的硕博研究生和博士后香港大学化学系支志明院士研究组,现有CADD、化学信息学和AI辅助药物设计方向,诚招硕士/博士研究生和博士后,入学时间2021年秋季欢迎感兴趣的本科/硕士/博士同学联系报名!该职位...
计算模拟
500
10
abaqus中塑性和蠕变的定义问题
Susan溜溜
在abaqus中,塑性是率无关的,蠕变是率相关的,但是一般的金属都是率相关的材料,对于TC4合金,热压缩得到的应力应变曲线在不同应变率有很大的差别,在做热等静压的数值模拟过程中,塑性变形和蠕变都是很重要的,所以如何定义TC4合金的塑性(率无关)?
计算模拟
950
19
1stopt高版本代跑 (微分方程与代数方程参数拟合)
ckm0811
7参数拟合问题,含有微分方程与代数方程,请求高版本代跑一下程序。Parameterfac1=,fac3=,fac5=,fac7=[1e-5,];Variablet,lamb,lambdif,pb;ODEFunctionlambv\'=if(lambdif<...
计算模拟
300
6
MS如何计算晶体的结构稳定
1337308148
跪求大佬指导MS如何计算晶体结构稳定性。
计算模拟
250
5
fluent求解流体熵产
lxh_qddx
各位,有没有利用fluent求解流体熵产,并输出熵产云图的视频实例,无论哪一种流体都行,本人想学习一下操作流程,求助,谢谢!
计算模拟
150
3
机器学习的R2图片,老是平行于X轴
同样信任
各位老师、师兄、师姐好,我刚接触机器学习,发现拟合的结果经常平行于x轴。不知道是什么原因。如图123。图45,我疑惑的是,测试集看着挺集中的,为什么测试集的r2会这么低呢?谢谢大家!
计算模拟
150
3
CASTEP计算ZnO带隙,加U和不加U算出来带隙没区别。加U除了设置U值,还要勾选什么吗?
何处飘零
请教各位大神,CASTEP计算ZnO带隙,为啥加U和不加U算出来带隙没区别。加U除了在electronicconfiguration中设置U值,在计算参数设置面板里面还要勾选什么吗?
计算模拟
200
4
Materials studio的使用方法
shuaige666
这软件能模拟计算出XRD曲线吗?
计算模拟
4300
86
fsl处理tbss中遇到的问题
a934246947
这两步都需要配准吗?有点晕,还有第2步如果想要配准到自己的空间怎么做呢,因为它只提供了两个参数,都是配到默认空间,没法选择自己提供的空间
计算模拟
300
6
2042
1
2
3
4
5
6
››
... 69
板块导航
网络生活
育儿交流
健康生活
有奖问答
资源共享
课件资源
试题资源
化学化工
有机
高分子
无机物化
分析
催化
工艺技术
化工设备
化工
精细化工
电化学
环境
专业学科
机械
物理
数学
农林
食品
地学
能源
信息科学
理工农林
科研生活
博后之家
专业外语
外语学习
导师招生
找工作
招聘信息
考研
考博
公务员
生物医药
新药研发
药学
药品生产
分子生物
微生物
动植物
生物科学
医学
材料
材料
材料工程
微米纳米
晶体
金属
非金属
生物材料
功能材料
复合材料
计算模拟
第一原理
量子化学
计算模拟
分子模拟
仿真模拟
程序语言
学术交流
论文投稿
基金申请
学术会议
出国留学
留学生活
公派出国
访问学者
海外博后
留学DIY
签证指南
出国考试
海外院所
注册执考
化工工程师
执业药师
执业医师
环境工程师
会计师
注册考试
24小时热帖
换一批
论文投稿求助
4
Applied Surface Science 这个期刊。有哪位虫友投过的能把word模板发给我参考一下嘛
3
投稿精细化工
6
博士读完未来一定会好吗
36
之前让一硕士生水了7个发明专利,现在这7个获批发明专利的维护费可从哪儿支出哈?
10
应助之星
sinubi
+关注
北京莱茵润色
+关注
科研大师姐
+关注
0520321
+关注
nBu锂
+关注
下载小木虫APP
与700万科研达人随时交流
二维码
IOS
安卓
欢迎监督和反馈
:小木虫仅提供交流平台,不对该内容负责。
欢迎协助我们监督管理,共同维护互联网健康,违规贴举报删除请联系邮箱:xiaomuchong@tal.com
(点此查看侵权举报方式)
我们保证在7个工作日内给予处理和答复,谢谢您的监督。
©2001-2025 muchong.com,小木虫
京ICP备16008351号
京公网安备 11010802022153号
Copyright © 2001-2025 muchong.com, All Rights Reserved. 小木虫 版权所有