有偿求一个计算偶极角度的脚本!!!
有偿求大佬们给一个,或者帮忙写一个可以读取壁面上水分子液滴的偶极与壁面法相所成角的角度的脚本(模拟是用lammps做的),示意图如下(图一,图二)。最后可以画成像(图三或者图四)这样的图。可以帮忙的联系我呀!

图一.png

图二.png

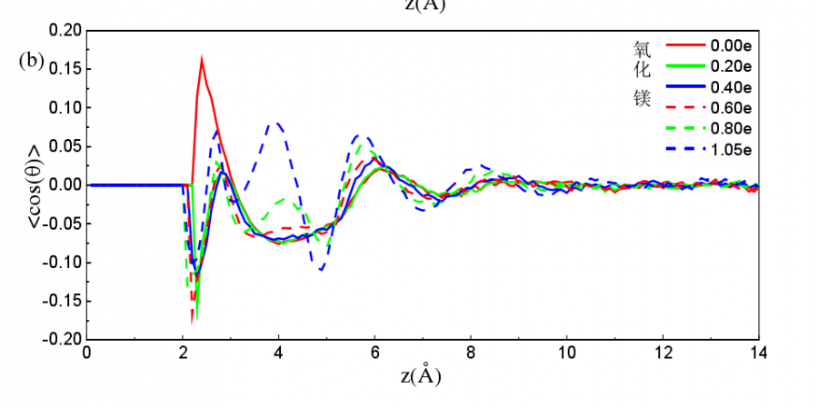
图三.png

图四.png
返回小木虫查看更多
今日热帖
有偿求大佬们给一个,或者帮忙写一个可以读取壁面上水分子液滴的偶极与壁面法相所成角的角度的脚本(模拟是用lammps做的),示意图如下(图一,图二)。最后可以画成像(图三或者图四)这样的图。可以帮忙的联系我呀!

图一.png

图二.png

图三.png

图四.png
返回小木虫查看更多
同求一个算角度的脚本
我们都是免费先写好脚本然后给到客户
,