当前位置:小木虫首页 >> 食品

食品347求调剂!

努力的乔啊
一志愿西北农林食品科学与工程专业,总分347,英一数二,求引荐!谢谢大家啦
食品
  • 650
  • 13

考研调剂 第一志愿报考中农 总分352

1967629285
本人吃苦耐劳,有致于学术研究,目前也有读博打算,恳请调剂!
食品
  • 150
  • 3

食品科学与工程361求调剂

lllll哈哈哈
一志愿南京农业大学361分英语一55求调剂推荐!
食品
  • 200
  • 4

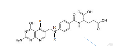
请教各位大神,叶酸的结构最左边的环上是羟基还是羰基,到底哪一个靠谱?

duhuan311
请教各位大神,叶酸的结构式到底是怎么样的,看到有的文献最左边的环上是羟基,有的最左边环上又是羰基,到底哪一个靠谱?还是有什么解释啊?1615891085(1).jpg16...
食品
  • 250
  • 5

求可食用膜的相关资料

蟪蛄の春秋
最近要做可食用膜,大家知道有哪些书籍或者比较厉害的研究团队吗?自己找的资料太零碎了,想系统的看一下相关资料。
食品
  • 2150
  • 43

食品科学和发酵工程哪个更好点呢

sivonakk
这两个方向以后的就业哪个更有前景呢,求大佬解答~
食品
  • 400
  • 8

地沟油放在室外逐渐变白

傲傲的
小弟在对地沟油进行一定的研究,发现我的地沟油一开始深黄色,放在室外会逐渐变为白色,主要是想知道下发生了什么反应,有大佬能帮忙说明下么
食品
  • 200
  • 4

急求虫友们的植物乳杆菌、嗜热链球菌和鼠李糖乳杆菌

masterzcy
亲爱的虫友们:本人是做食品加工方面的一名新手,最近在做食品乳酸发酵。学校实验条件不好,之前并没有任何的菌种保藏。但买新的菌种实在很贵,因此求助广大好心的虫友帮帮忙,希望手里有植物乳杆菌、嗜热链球菌、鼠李糖乳杆菌的虫友们支持一下,万分感谢!万分感谢!万分感谢!我...
食品
  • 200
  • 4

蛋白质dsc如何分析

金杰
蛋白质dsc的变性热焓如何计算
食品
  • 500
  • 10

实验室对外开放 需要帮助的老师同学可前来咨询 扫码即可

kaby1783
专业测试,精度高,误差小,测试快,服务好,价格优1.电镜技术:SEM,TEM,FIB2.形貌分析:表面,内部,三维3.样品制备:SEM制样,TEM制样,EBSD制样,金相...
食品
  • 2500
  • 50

请问,目前能招食品专业在职博士的学校有哪些?

hp739030456
如题,请问,目前能招食品专业在职博士的学校有哪些?感谢
食品
  • 350
  • 7

亚硝酸盐的测定,国标,分光光度法

gfliuxing
亚硝酸盐测定分光光度法干燥亚硝酸钠干燥多久时间
食品
  • 250
  • 5

高压静电场和低温等离子体的区别是什么?

hellen1987
查了文献,低温等离子体主要是通过高压电场电离介质气体使之处于高度电离状态,产生自由电子、自由基、臭氧和紫外光等活性基团共同作用达到杀菌保鲜效果。高压静电场是通过电离空气产生离子雾和臭氧进行杀菌、抑制果蔬呼吸作用和新陈代谢等活动来达到保鲜的效果。由此可见,二者都...
食品
  • 600
  • 12

蛋白酶解水解度测定单位不一致

Fanqie呆毛
取粉末酶解后,酶解液中氨基态氮和总氮单位是mg/ml,粉末中的总氮是g/100g,单位不同如何计算水解度和蛋白回收率?
食品
  • 150
  • 3

水酶法提山茶籽油

18758439192
我在使用水酶法提山茶籽油离心后,几乎没有游离油,而且乳化层为什么看起来这么奇怪
食品
  • 450
  • 9

米糠膳食纤维测定

飞飞飞Xyz
我在测米糠膳食纤维中的可溶性膳食纤维时,为什么在抽滤的时候,会直接抽滤下去,导致可溶性膳食纤维测不出来,是什么原因啊?有没有类似的情况,怎么解决呀,谢谢大家!
食品
  • 1700
  • 34

为什么用乙腈,而不用甲醇呢?

LJ子衿
为什么很多检测公司都是用乙腈提取食品中的防腐剂,而不选用甲醇这些,尤其是像一些含有蛋白质和脂肪类的面包,糕点类食品。求解答一下。谢谢
食品
  • 700
  • 14

α葡萄糖苷酶抑制率

阿西吧^O^
样品组:α葡萄糖苷酶40微升+样品40微升+pbs0微升+pnpg40微升+碳酸钠80微升背景组:样品40微升+pbs40微升+pnpg40微升+碳酸钠80微升空白组:α葡萄糖苷酶40微升+pbs40微升+pnpg40微升+碳酸钠80微升空白对照组:pbs80...
食品
  • 600
  • 12

筛选到的可用于食品的菌种,需要做什么检测吗?

dqliao
从一发酵食品中筛选到一株菌,16sDNA测序是植物乳杆菌,这株菌能直接用于食品吗?还需要做什么检测?
食品
  • 400
  • 8

维生素E色谱图的问题,友友们帮忙看看,不知道这个标准品图能不能用

pukksing
目前本人是食品专业研一,测定样油中维生素E的含量时,gamma生育酚和beta生育酚的峰有点分不开,我给老师看了,老师说可以从中间劈开(不知道这个标准品图能不能用)。但我...
食品
  • 350
  • 7

对硝基笨β吡喃半乳糖苷(PNPG)

阿西吧^O^
出售,对硝基笨β吡喃半乳糖苷(PNPG),诚信出售,价格可议,
食品
  • 400
  • 8

多糖分子量测定

renzp
有同学常问,测多糖分子量用什么法,是HPGPC还是HPSEC?目前主流仪器检测多糖分子量的方法是凝胶渗透色谱法,也叫体积排阻色谱法,缩写有HPGPC,也有HPSEC,都是...
食品
  • 250
  • 5

求助 食品致病菌株,可以购买或交换,谢谢啦!

wangtaoyun08
各位大神,最近要做提取物抑菌试验,但苦于实验室菌株不全,请问哪位大神实验室有:肉毒杆菌,沙门氏菌,黄曲霉菌,铜绿假单胞菌,米曲霉菌,副溶血性弧菌,霍乱弧菌。我这边实验室也有多种食品及农业上的致病菌株,若哪位大神实验室有以上菌株,可以购买或者交换,如有大神出手相...
食品
  • 350
  • 7

发酵过程蛋白凝胶形成机制

木槿dyjvgy
用乳酸菌发酵导致大豆蛋白形成凝胶现在想要研究形成的机制,除了分析蛋白质的结构、分子量、分子间作用力以外,请问大家还有什么更深入的机制来研究吗?
食品
  • 350
  • 7

求纤维素含量测定

我姓shen
有能测纤维素含量的靠谱第三方机构推荐吗
食品
  • 250
  • 5

果酒风味成分介绍类书籍

马慧敏MHM
求助各位,有没有果酒风味成分介绍类的书记推荐?
食品
  • 200
  • 4

谷物中淀粉问题

小小元素17
搞不明白,总淀粉,粗淀粉,支链和直链淀粉之间的关系,请大神指教
食品
  • 350
  • 7

学长们,花青素含量计算公式中的稀释倍数怎么计算

IMAUbestT
学长们,问下pH示差法计算花青素含量中稀释倍数怎么计算。我现在有买来的植物提取物(粉末状态),想计算总花青素含量。我的操作过程是取0.1g粉末溶解在100mL蒸馏水中,此时为1g/L。从中取1mL与9mLpH1.0和pH4.5的缓冲液混合均匀。然后取混合均匀的...
食品
  • 300
  • 6

有做过蛋白质谷氨酰胺酶脱酰胺的吗?

wyy123123
目前在做,遇到好多问题,可以交流下吗?
食品
  • 150
  • 3

Critical reviews小修啦,求好运

夏茉莉伊
人生第一篇综述没想到这么顺利,期待被接受的消息!加油加油加油!
食品
  • 2500
  • 50
应助之星
下载小木虫APP
与700万科研达人随时交流
  • 二维码
  • IOS
  • 安卓