小木虫
登陆
|
注册
首页
导读
期刊
发现
社区
招聘老师
当前位置:
小木虫首页
>> 数学
数学专业继续读博还是选择就业?
北北真香
我是一名数学专业在读研究生,目前就读于某所211院校,对数学谈不上有很大兴趣,但是可以用心做到学习,内心也有毕业做数据分析就业的打算。真诚的想请教各位大神几个问题:1读博士之后到高校任教待遇怎么样?2读博士后悔了吗?对于我这种没兴趣但是也可以学的建议读博吗?(...
数学
700
14
哪位仁兄能帮忙看一下这个链接的编程哪有问题
不懂就要问☆
'http://blog.sina.com.cn/s/blog_c1c3dada010158nn.html'这个链接中的内容我复制到matlab中有问题,还望哪位仁兄帮忙指导一下
数学
2900
58
以前有附件可以下载。现在怎么见不到了?
yanyuluo
以前有附件可以下载。现在怎么见不到了?
数学
400
8
有偿求助帮忙做题目,50元一道题,一道题一付钱
我是强者
偏微分方程差分方法、数值分析、样条函数、有限元分析,会任意一门即可要求给出正确、清晰、详细、完整的解题步骤如果有认识的人可以做的话,麻烦帮忙介绍下
数学
350
7
请问如何从概率分布函数到累积分布函数的推导
althwren
如图所示,请问如何从PDF转到CDF,谢谢捕获.JPG
数学
250
5
本科河南师范大学,报考郑州大学,求调剂
1290zxcv
思想政治理论:72英语一:58数学分析:69高等代数:123
数学
150
3
有偿交流大学编程和矩阵相关答疑解惑
飞驰胖子V5
大学编程和矩阵学的一头雾水,现有偿求助线上交流
数学
150
3
理学数学考研310分求调剂
小段儿
一志愿哈尔滨工程大学政治67英语一61数学分析82高等代数100总分310
数学
750
15
分段线性函数拟合
18613869640
请教个问题,我有一组数据,想要用两段线性函数对其拟合,我采用的是最小二乘法,即,使两段函数的预测值与真实值差的平方之和最小,结果如图所示。由图可以看出,采用这种方法的拟合...
数学
350
7
求调剂 理学280分
qsdp一路向南
求调剂280分,本科一志愿四川师范大学理学数学,大学期间多次获得奖学金,现在是一名党员,参加过数学建模大赛,本科专业成绩较好。
数学
250
5
数学版块里的资源不好下载了吗?
soyrong
请教下,数学版块里的资源不好下载了吗?怎么解决啊?谢谢。
数学
850
17
各位大神,有没好的下载数学资源的软件推荐?
soyrong
各位大神,有没好的下载数学资源的软件推荐?盼回复。
数学
850
17
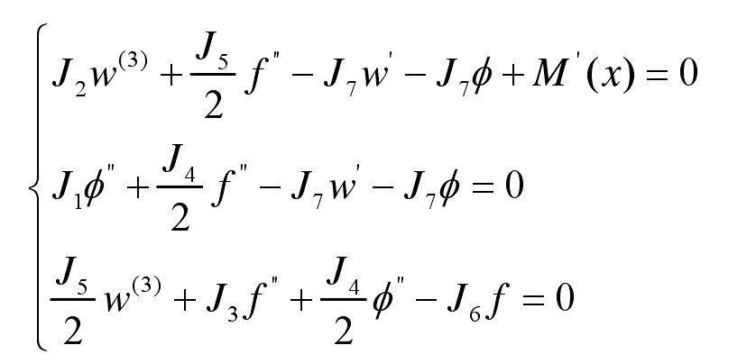
请指点,关于微分方程组的求解
挑战平凡
关于图示微分方程组,该如何思考并分别得到关于w,f,phi的各自的微分方程?如果想解决我的问题是否有数学软件可以求解?如maple里的哪个功能?,或者从哪个角度思考,因为...
数学
150
3
卡分分布的统计量 非正态逼近
即儿j
请各位大佬帮忙解答一下,谢谢!1.卡方分布的统计量是指服从卡方的统计量吗还是卡方分布的均值,方差,标准差,极差,中心距原点矩,顺序统计量,偏态系数,峰态系数,中位数,分位数,相关系数,充分统计量,完备统计量等统计量2.非正态逼近包括泊松逼近?鞍点逼近?Satt...
数学
600
12
如何选择统计量
雪顶咖啡冰
各位路过的大神,由于本人不是数学专业的,故来贵区冒昧请教:我想统计表征一个体系中原子团簇的浓度梯度情况(体系中不同高度分布有不同数量和大小(原子团中包含的原子数目)的原子团),因为我想比较不同体系,所以想找一个数学统计量来量化,但是没有头绪哪些量有可能用在我这...
数学
200
4
- ??(?????)感谢!
zmcbear
- ??(?????)感谢!
数学
5900
118
origin数据处理,着急!!
wordetian
想了解一下文字叙述部分怎么个计算方法,用origin处理,自己不会,求大神帮助,挺着急,谢谢Q1.pngQ2.pngQ3.png
数学
350
7
求一个样本中某个数据对该样本标准差的贡献
钱塘幼麟
我想问一个问题:我把一个价值10分的任务分给一组8个学生(分值代表工作量),最小分割单位是1分,这样还是有可能有的学生还没有做出任何贡献。比如最后工作量分配是(5,2,1,1,1,0,0,0)。我想定量比较这个组的工作量分配是否比另一组(比如(3,2,1,3,...
数学
5100
102
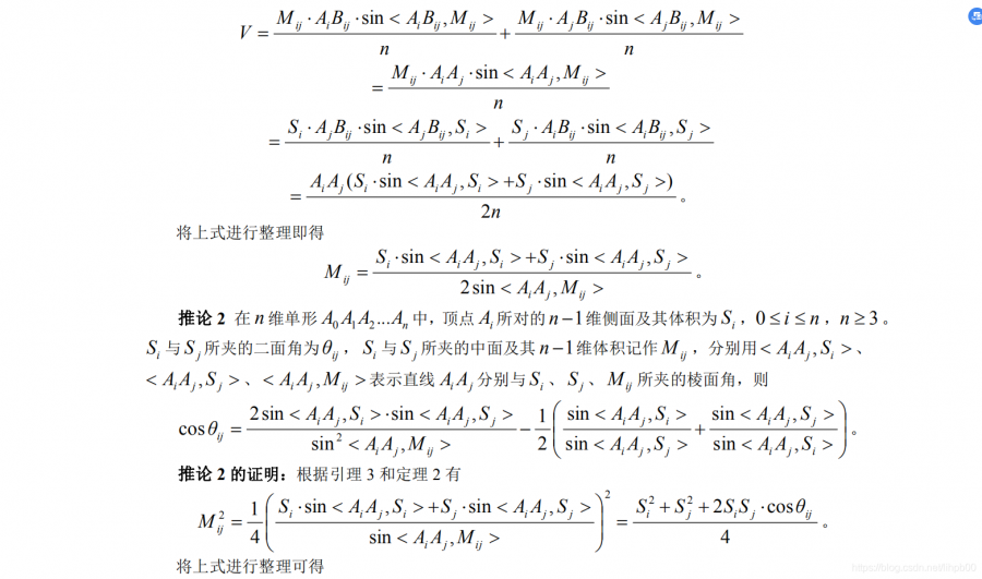
四面体棱切球的一些特殊正弦定理及其几何性质
lihpb
四面体存在棱切球的充要条件是该四面体的三组对棱之和相等。对于存在棱切球的四面体,本文给出有关其二面角、三面角、外接球的一些特殊正弦定理及其各侧面面积、各侧面外接圆半径、各...
数学
150
3
quasi newton method
大飞鱼鱼鱼
最近对拟牛顿法有极大的兴趣。有没有一些比较简单易行的保证全局收敛的算法?比如说damping?
数学
500
10
关于独立相关的理解
嘿嘿又呵呵
各位大神,请问下边这句话怎么理解呢,血浆中肉毒碱水平到底和心肌梗死、中风或死亡未来风险增加是否相关呢?这个independently应该是理解成独立相关的意思吧,那么这里的独立相关怎么理解呢?请详细一些,小弟数学背景比较烂呀~"plasmacarni...
数学
200
4
各位大佬帮忙看看怎么划过来的
Mr坏Louis
应该是复变函数里面的知识,都忘光了
数学
150
3
求证以下矩阵可逆
lalalala76
请问这个图片里面的矩阵是否能证明有左逆:问题-矩阵求逆.png
数学
500
10
分块矩阵相乘中矩阵某块未知的求解问题
qwebaby2
有这么一种类型的问题,[X,A]*[B;Y]=C,A,B,C,X,Y的维数对应,其中A,B,C已知,X,Y未知,问该怎么求X和Y?请问有人可以解答一下吗?
数学
350
7
有限时间引理中的调节时间是如何计算的呢
笑55555
论文中的有限时间引理,都是直接给出了结论,有没有大神知道图中的这个引理是如何求解得到y的值和相应的时间t的呢
数学
2550
51
关于单形中面及线面角的相关性质
lihpb
本文对单形的棱面角进行探讨,给出了棱面角和中面的各种相关性质。01.png02.png03.png04.png05.png06.png07.png08.png09.png...
数学
250
5
FFT滤波器 平滑数据
Mr浅笑
Origin里数据分析里的FFT滤波器。问题一:图片里的窗口点数是什么意思。选的越大,平滑后的曲线越光滑。问题二:讲FFT滤波器原理的公式在哪里可以查找,非数学专业,想找...
数学
1950
39
拟合参数有一个误差范围
Mr浅笑
使用幂函数拟合曲线,origin做的。得到拟合参数,有一个误差范围。因为是幂函数,这个误差影响会很大。所以最后如何确定拟合参数的准确数值呢?半夜想起来,所以没有配图
数学
2550
51
折线连通集的闭包是否折线连通
Orlicz
二维欧式空间中,折线连通集的闭包是否仍为折线连通的?其中折线连通是指华东师大版数学分析教材中的连通
数学
200
4
如题,一个矩阵左乘或右乘一个对角矩阵之后,特征值与原矩阵的特征值有什么关系
北洋灯火
会不会小于对角矩阵中最大的乘原矩阵特征值?(若特征值为实数)总觉得会有大小关系,但是找不到证明,求助大家,谢谢~
数学
750
15
937
1
2
3
4
5
6
››
... 32
板块导航
网络生活
育儿交流
健康生活
有奖问答
资源共享
课件资源
试题资源
化学化工
有机
高分子
无机物化
分析
催化
工艺技术
化工设备
化工
精细化工
电化学
环境
专业学科
机械
物理
数学
农林
食品
地学
能源
信息科学
理工农林
科研生活
博后之家
专业外语
外语学习
导师招生
找工作
招聘信息
考研
考博
公务员
生物医药
新药研发
药学
药品生产
分子生物
微生物
动植物
生物科学
医学
材料
材料
材料工程
微米纳米
晶体
金属
非金属
生物材料
功能材料
复合材料
计算模拟
第一原理
量子化学
计算模拟
分子模拟
仿真模拟
程序语言
学术交流
论文投稿
基金申请
学术会议
出国留学
留学生活
公派出国
访问学者
海外博后
留学DIY
签证指南
出国考试
海外院所
注册执考
化工工程师
执业药师
执业医师
环境工程师
会计师
注册考试
24小时热帖
换一批
自荐读博
4
想换工作。大多数高校都是 评职称时 认可5年内在原单位取得的成果吗?
6
上海工程技术大学【激光智能制造】课题组招收硕士
4
写了一篇“相变储能技术在冷库中应用”的论文,论文内容以实验为主,投什么期刊合适?
6
带资进组求博导收留
10
应助之星
sinubi
+关注
bobvan
+关注
北京莱茵润色
+关注
下载小木虫APP
与700万科研达人随时交流
二维码
IOS
安卓
欢迎监督和反馈
:小木虫仅提供交流平台,不对该内容负责。
欢迎协助我们监督管理,共同维护互联网健康,违规贴举报删除请联系邮箱:xiaomuchong@tal.com
(点此查看侵权举报方式)
我们保证在7个工作日内给予处理和答复,谢谢您的监督。
©2001-2025 muchong.com,小木虫
京ICP备16008351号
京公网安备 11010802022153号
Copyright © 2001-2025 muchong.com, All Rights Reserved. 小木虫 版权所有