小木虫
登陆
|
注册
首页
导读
期刊
发现
社区
招聘老师
当前位置:
小木虫首页
>> 数学
一元n次导函数的单调性问题,求大神指点迷津,万分感谢
卡卡路里丶
不管是再次求导还是做差都没搞不定,困扰好久了,还有什么方法能证明的,希望大神们给个思路,感谢。此外,导函数等于0时求得的解中有一些含有复数,这个怎么解释,谢谢2.png
数学
550
11
电脑如何输入R上面一斜杠
走出半生
就是离散数学里面所表示的R上面一斜杠,求助求助
数学
350
7
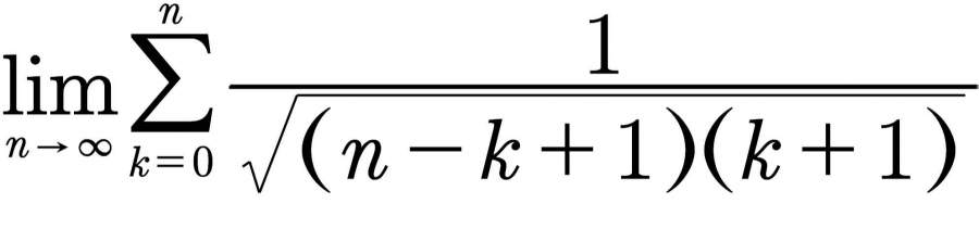
求解一道极限题
CPYHH
如图,谢谢各位大佬!
数学
250
5
求助懂统计学知识的大佬
VikiePeter
我想问,为什么由f(t)图形的对称性,可以得到所划横线的等式
数学
400
8
【原版教材•中英对照】概率(Probability)
m旧时光
Probability概率Author:JimPitman下载地址:'https://www.zhisci.com/pdfshow/17664'Thistextbookisidealforanundergraduateintroductiontoprobabi...
数学
200
4
【原版教材•中英对照】贝叶斯和频率回归方法
m旧时光
BayesianandFrequentistRegressionMethodsy贝叶斯和频率回归方法Author:JonWakefield下载地址:'https://ww...
数学
250
5
在正式论文中计算出现循环小数该怎么表达?
奋斗小星
在写论文的时候发现表格数据对不上,一开始表格里省略下来的两位小数是5.33,然后计算出来的占比为44.41%,但是核算原始数据的占比应该为44.44%,后来检查后发现是因为5.33是个无限循环小数5.33333…,但是全文描述都是省略两位小数,这种情况应该怎么...
数学
400
8
【原版教材•中英对照】经典傅里叶分析 第三版
m旧时光
ClassicalFourierAnalysis(SECONDEDITION)经典傅里叶分析(第三版)Author:LoukasGrafakos下载地址:'https:/...
数学
1200
24
矩阵可以用表格的形式表示吗?
左亚雪
请教各位一个问题,矩阵可以用表格的形式表示吗,我是真的不太了解,所以向大家请教。
数学
500
10
关于重积分的计算问题
clcfang
求指教,计算重积分或通过变量替换计算重积分,一定要画图,然后化为累次积分确定积分上下限吗,当图不好画(任意的方程都对应曲线或曲面)或者四维以上画不出时怎么办?有没有不用画图计算重积分或曲面积分的方法?谢谢!
数学
450
9
对误差函数进行积分的计算方法
琴琴琴琴k
想向各位大神请教一下,对误差函数进行积分该怎么计算呢?
数学
650
13
这个题怎么解?
hylpy
这个题怎么解?
数学
350
7
逐步回归法拟合模型
szj
泊松回归方法使用模型拟合软件,进行辐射致癌的剂量效应关系建模模型拟合优度以“卡方/自由度”的值判定。12个自变量,其中超额危险的自变量1个,其余11个变量均有可能是基础危险的自变量。目标:拟合得到拟合优度小于5,超额危险自变量系数不超过20,且P值小于0.05...
数学
200
4
elslatex 怎么将参考文献引用设为作者年份格式?要奔溃了,求大神指导
dollapym
希望引用的格式如图:'http://muchongimg.xmcimg.com/oss2/img/2020/0902/bw511h3761571_1599052132_8...
数学
150
3
高等数学例题与习题
kuang1227
高等数学例题与习题集偶得三册,分享给大家。认真做题,大有裨益
数学
500
10
初中数学经典选择题大全
kuang1227
很好的初中数学选择题
数学
1800
36
请问数学年刊Annals of Mathematics如何获取全文?
vertyang
网上这个网址有'https://annals.math.princeton.edu/',但是无法获取全文,网上也只能找到预印本,如何才能下载到正式出版的全文电子版呢
数学
300
6
偏微分方程求解请教,谢谢
napxy
如图所示,基本问题是某材料中含有一定浓度某物质,自上而下扩散,求解t时刻x位置介质中物质浓度。请教数学专业人士,该偏微分方程如何求解?非常感谢!
数学
150
3
看看你能找出几个连续奇素数对应的“LiKe数列”!
生物能源
like数列:令已知奇素数为原数列,仅以这些素数为因子表示合数,如果某些合数的间隔等于已知素数逆序排列后对应的间隔,这些合数就称为已知奇素数数列对应的like数列。如:3,5对应的like数列有:25,27(25=5*5,27=3*3*3,且27-25=5-3...
数学
3900
78
求Matlab代码的改进
CPYHH
请问这个matlab代码有什么需要改进的地方?计算lagrange插值多项式的代码,输入x=和x0=1.5以及x=和x0=2.5输出都是y0=30,请问怎么改进?代码如下...
数学
300
6
数学分析,求助
钢琴上的芭比
如下图,这个式子对吗?
数学
200
4
Baire纲定理定理的证明
数学本科生
刘培德版《泛函分析基捶在证明Baire纲定理时,有一个结论,X=∪En,En(n=1、2……)是疏朗集,则X=U(EN的闭包)详见附件照片为啥啊,求大神解答
数学
1000
20
数值分析题目求解答
Candance_LY
题目太难啦,懂得大神求解答
数学
550
11
生成 新密钥 ,用 两个 100位 的 十进制 大数 相乘,乘积 中 选取 8位
ftai
可行吗?这是初等数论,高等数论的范畴吗?
数学
3150
63
急请教求解偏微分方程,谢谢!
napxy
如图,一种物质在某无限长材料中至上而下扩散,求解材料中物质浓度表达式。请教数学专业人士,希望能有详细步骤,感谢感谢!
数学
150
3
经典力学的数学方法
xiebingmail
经典力学的数学方法
数学
500
10
常微分方程补充教程(尤秉礼)
xiebingmail
常微分方程补充教程(尤秉礼)
数学
600
12
下面的解是如何得到的?
lyaugust
下面的方程,文献上说采用准连续近似下变为积分,求取其近似解,哪位高手能否给一下具体求解过程?
数学
150
3
关于《一种创造力的机械暨永动机》发明的相关文献
李字奉
关于《一种创造力的机械暨永动机》发明的相关文献
数学
500
10
求助一位背书人
许文广
求助一位数论专家,且是克雷研究院预印本网站的背书人。(WenguangXushouldforwardthisemailtosomeonewho\'sregisteredasanendorserforthemath.NT(NumberTheory)subject...
数学
250
5
937
‹‹
1
2
3
4
5
6
››
... 32
板块导航
网络生活
育儿交流
健康生活
有奖问答
资源共享
课件资源
试题资源
化学化工
有机
高分子
无机物化
分析
催化
工艺技术
化工设备
化工
精细化工
电化学
环境
专业学科
机械
物理
数学
农林
食品
地学
能源
信息科学
理工农林
科研生活
博后之家
专业外语
外语学习
导师招生
找工作
招聘信息
考研
考博
公务员
生物医药
新药研发
药学
药品生产
分子生物
微生物
动植物
生物科学
医学
材料
材料
材料工程
微米纳米
晶体
金属
非金属
生物材料
功能材料
复合材料
计算模拟
第一原理
量子化学
计算模拟
分子模拟
仿真模拟
程序语言
学术交流
论文投稿
基金申请
学术会议
出国留学
留学生活
公派出国
访问学者
海外博后
留学DIY
签证指南
出国考试
海外院所
注册执考
化工工程师
执业药师
执业医师
环境工程师
会计师
注册考试
24小时热帖
换一批
282分材料专业求调剂院校
22
售SCI一区T0P文章,我:8.O.5.5.1.O.5.4,科目齐全,可+急
5
0857 资源与环境 285分
3
标题:捡漏预警|08工科/09农学调剂!英语要求低,过线即有机会!
12
一志愿安徽大学材料工程专硕313分,求调剂的学校
8
应助之星
peike
+关注
lfy8008
+关注
北京莱茵润色
+关注
红外探测_辛博士
+关注
30660438
+关注
下载小木虫APP
与700万科研达人随时交流
二维码
IOS
安卓
欢迎监督和反馈
:小木虫仅提供交流平台,不对该内容负责。
欢迎协助我们监督管理,共同维护互联网健康,违规贴举报删除请联系邮箱:xiaomuchong@tal.com
(点此查看侵权举报方式)
我们保证在7个工作日内给予处理和答复,谢谢您的监督。
©2001-2026 muchong.com,小木虫
京ICP备16008351号
京公网安备 11010802022153号
Copyright © 2001-2026 muchong.com, All Rights Reserved. 小木虫 版权所有