当前位置: 首页 > 数学 >这个题怎么解?

这个题怎么解?

作者 hylpy
来源: 小木虫 350 7 举报帖子
+关注

这个题怎么解? @laosam280 返回小木虫查看更多

今日热帖
  • 精华评论
  • 眼镜新八唧

    第一个命题的积分里少=0,题目证明用到gauss定理、k次齐次函数以及k次齐次函数满足的偏微分等式(Euler定理及其证明)。

  • hylpy

    引用回帖:
    2楼: Originally posted by 眼镜新八唧 at 2020-08-29 08:39:32
    第一个命题的积分里少=0,题目证明用到gauss定理、k次齐次函数以及k次齐次函数满足的偏微分等式(Euler定理及其证明)。

    我也一直怀疑此题有误。我再想一下,能否请答一下呢?

  • 眼镜新八唧

    引用回帖:
    3楼: Originally posted by hylpy at 2020-08-29 19:25:16
    我也一直怀疑此题有误。我再想一下,能否请答一下呢?...

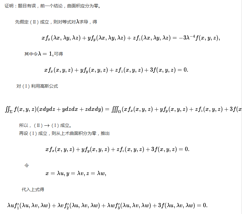
    从命题2出发,等式两边对λ求导,

    xf_x(λx,λy,λz)+yf_y(λx,λy,λz)+zf_z(λx,λy,λz)=-3λ^(-4)f(x,y,z)

    令λ=1,得

    (1)  xf_x(x,y,z)+yf_y(x,y,z)+zf_z(x,y,z)+3f(x,y,z)=0

    根据gauss定理,曲面积分=0.

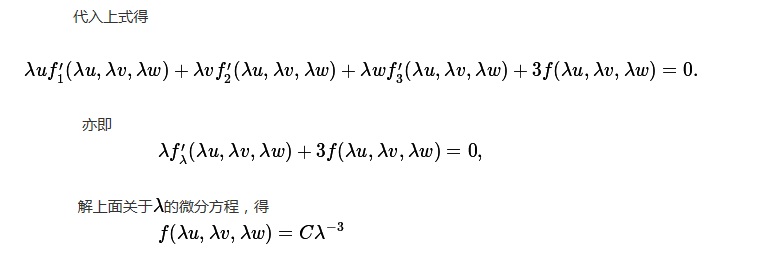
    从命题1出发,得到等式(1),令x=λu,y=λv,z=λw

    λuf'_1(λu,λv,λw)+λvf'_2(λu,λv,λw)+λwf'_3(λu,λv,λw)+3f(λu,λv,λw)=0

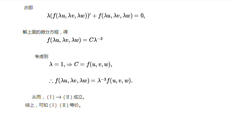
    λ[f(λu,λv,λw)]'_λ+3f(λu,λv,λw)=0

    解f(λu,λv,λw)关于λ的方程,得f(λu,λv,λw)=Cλ^(-3),取λ=1,得C=f(u,v,w).  从而命题2得证.

  • hylpy

    引用回帖:
    4楼: Originally posted by 眼镜新八唧 at 2020-08-29 20:34:33
    从命题2出发,等式两边对λ求导,

    xf_x(λx,λy,λz)+yf_y(λx,λy,λz)+zf_z(λx,λy,λz)=-3λ^(-4)f(x,y,z)

    令λ=1,得

    (1)  xf_x(x,y,z)+yf_y(x,y,z)+zf_z(x,y,z)+3f(x,y,z)=0

    根据gauss定理,曲面 ...

    十分感谢

  • hylpy

    引用回帖:
    4楼: Originally posted by 眼镜新八唧 at 2020-08-29 20:34:33
    从命题2出发,等式两边对λ求导,

    xf_x(λx,λy,λz)+yf_y(λx,λy,λz)+zf_z(λx,λy,λz)=-3λ^(-4)f(x,y,z)

    令λ=1,得

    (1)  xf_x(x,y,z)+yf_y(x,y,z)+zf_z(x,y,z)+3f(x,y,z)=0

    根据gauss定理,曲面 ...

    这个题怎么解?-1
    这个题怎么解?-2

  • hylpy

    上面的式子,有些手误,不改了 @laosam280

  • hylpy

    引用回帖:
    4楼: Originally posted by 眼镜新八唧 at 2020-08-29 20:34:33
    从命题2出发,等式两边对λ求导,

    xf_x(λx,λy,λz)+yf_y(λx,λy,λz)+zf_z(λx,λy,λz)=-3λ^(-4)f(x,y,z)

    令λ=1,得

    (1)  xf_x(x,y,z)+yf_y(x,y,z)+zf_z(x,y,z)+3f(x,y,z)=0

    根据gauss定理,曲面 ...

    修正上述手误部分
    这个题怎么解?-3

猜你喜欢
应助之星
下载小木虫APP
与700万科研达人随时交流
  • 二维码
  • IOS
  • 安卓