| 查看: 1527 | 回复: 8 | |||
| 【有奖交流】积极回复本帖子,参与交流,就有机会分得作者 lihpb 的 1 个金币 ,回帖就立即获得 1 个金币,每人有 1 次机会 | |||
[交流]
n维空间的三面角正余弦定理
|
|||
|
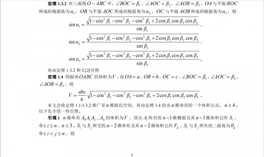
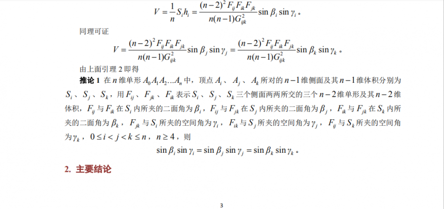
本文将三面角的正余弦定理、棱面角公式推广至n维空间,给出了n维单形中的任意三个侧面所成的三面角的正余弦关系,并将四面体的某个体积公式也推广至n维单形上。 李兴源 Email:lihpb@qq.com 01.png 02.png |
» 本帖附件资源列表
-
欢迎监督和反馈:小木虫仅提供交流平台,不对该内容负责。
本内容由用户自主发布,如果其内容涉及到知识产权问题,其责任在于用户本人,如对版权有异议,请联系邮箱:xiaomuchong@tal.com - 附件 1 : n维空间中的三面角正余弦关系.pdf
2023-06-22 10:42:39, 260.37 K
» 猜你喜欢
291求调剂
已经有7人回复
300求调剂
已经有8人回复
求调剂推荐
已经有7人回复
289 分105500药学专硕求调剂(找B区学校)
已经有4人回复
0854求调剂
已经有13人回复
初试324 中药学 一志愿天中医 求调剂
已经有3人回复
药学求调剂
已经有14人回复
327求调剂
已经有27人回复
急需调剂
已经有5人回复
271求调剂
已经有33人回复
» 抢金币啦!回帖就可以得到:
陕科大环境学院招收0857和0830调剂考生【新增名额,最后一次,可跨门类】
+3/297
山东征女友,坐标济南
+1/174
物理学调剂
+1/89
招统计机器学习理论硕士及博士生|南京大学人工智能学院
+1/84
急调物理类研究生,过国家线基本就可以了,名额还多
+2/42
2026年盐城工学院化学工程与技术专业(学硕)招收08所有专业和0703方向考生
+1/39
招收08开头的学硕专硕均可以及0703,线上复试
+1/39
二维材料方向博士后招聘
+1/39
北华大学 08代码 调剂虚位以待
+1/37
大家好,请教个问题,连续挤出胶皮,有没有在线降低气味VOC的方式。
+1/19
福建师范大学环资学院环境微生物技术组招收2026级硕士(4月10日,线上面上)
+1/11
中南林院士团队 招 生物质能源与材料 博士生
+1/9
河南农业大学理学院招收化学(学硕)和材料与化工(专硕)专业硕士调剂生2名
+1/8
稀土发光分析|核壳结构|寿命拟合
+1/8
抗病毒性传染病创新药物全国重点实验室—生物与医药还有3个指标,可跨专业调剂
+1/5
中山大学智能传感(国家杰青)团队提前招收2027年博士(先进组做技术员)
+1/4
北华大学—工学08调剂仍有余额(初试需含数学+英语)
+1/4
测试储氢合金的氢气渗透率
+1/4
西安工程大学环境与化学工程学院学硕调剂(专硕可调学硕)
+1/3
海南大学袁禹亮老师招收第二批博士,名额1个,2026年9月份入学(电解(海)水制氢)
+1/1
2楼2023-06-22 10:46:10
3楼2023-06-22 10:47:54
4楼2023-06-22 10:49:43
5楼2023-06-22 10:50:59
简单回复
tzynew6楼
2023-06-22 11:15
回复
lihpb(金币+1): 谢谢参与
2023-06-22 21:27
回复
lihpb(金币+1): 谢谢参与
XG-WUST8楼
2023-06-22 21:43
回复
lihpb(金币+1): 谢谢参与
up 发自小木虫IOS客户端
2026-03-10 23:58
回复
lihpb(金币+1): 谢谢参与
666 发自小木虫IOS客户端













回复此楼
