| 查看: 1588 | 回复: 1 | ||
[交流]
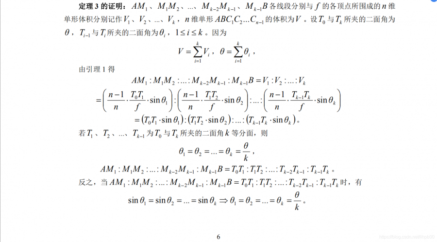
三角形等角线定理在n维单形上的推广
|


2楼2021-07-18 20:53:05














回复此楼