关于单形中面及线面角的相关性质
本文对单形的棱面角进行探讨,给出了棱面角和中面的各种相关性质。

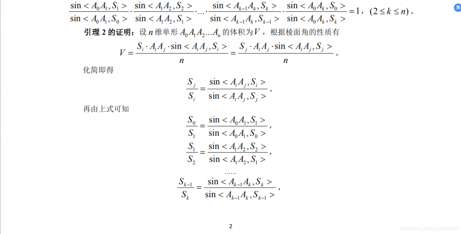
01.png

02.png

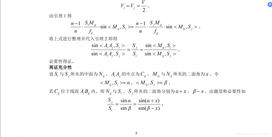
03.png

04.png

05.png

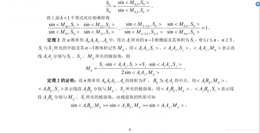
06.png

07.png

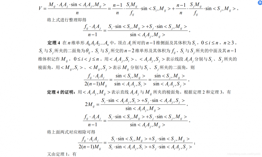
08.png

09.png

10.png

11.png

12.png
今日热帖

京公网安备 11010802022153号
求热心人帮忙用latex排版投预印本,论文可以加你名字:d,
有模板才能写论文啊
。