四面体棱切球的一些特殊正弦定理及其几何性质
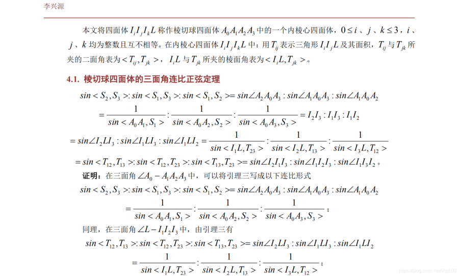
四面体存在棱切球的充要条件是该四面体的三组对棱之和相等。对于存在棱切球的四面体,本文给出有关其二面角、三面角、外接球的一些特殊正弦定理及其各侧面面积、各侧面外接圆半径、各侧面内心连线、各侧面内心与棱切球心连线之间的各种关系。
01.png

02.png

03.png

04.png

05.png

06.png

07.png

08.png
今日热帖
四面体存在棱切球的充要条件是该四面体的三组对棱之和相等。对于存在棱切球的四面体,本文给出有关其二面角、三面角、外接球的一些特殊正弦定理及其各侧面面积、各侧面外接圆半径、各侧面内心连线、各侧面内心与棱切球心连线之间的各种关系。
01.png

02.png

03.png

04.png

05.png

06.png

07.png

08.png
如图








01.png
02.png
03.png
04.png
05.png
06.png
07.png
08.png
如图








01.png
02.png
03.png
04.png
05.png
06.png
07.png
08.png
,
帮忙看看论文有什么理论错误