当前位置:小木虫首页 >> 计算模拟

为什么利用MATLAB拟合得到的多项式函数R=0.9992,而求出来的Z值与实际Z值误差却很大?

巨猩奥尼尔
以下是MATLAB拟合结果:LinearmodelPoly55:f(x,y)=p00+p10*x+p01*y+p20*x^2+p11*x*y+p02*y^2+p30*x^3+p21*x^2*y+p12*x*y^2+p03*y^3+p40*x^4+p31*x^3...
计算模拟
  • 650
  • 13

comsol模拟锂电池枝晶生长

阿沐沐沐沐
最近老师给了篇文献,让模拟锂电池的枝晶生长情况,初学,有一些问题不太明白,有没有比较精通comsol的人交流一下,谢谢
计算模拟
  • 350
  • 7

有小哥哥懂卷积神经网络

kua683813
有小哥哥对卷积神经网络和递归神经网络有研究吗?我们有个课题是开发听诊器的,对心音肺音进行识别,复旦中山医院的课题,现在数据分析遇到点阻力,可以请您帮帮忙吗?
计算模拟
  • 550
  • 11

fluent meshing划分网格,计算后剖面图出现异常

xyz1314oo
求助各位大神,我用fluentmeshing画的网格,然后计算完成后切片温度云图中有一些白色线条,同时在tecplot中显示切片edge会将内部网格也显示出来,有大神知道...
计算模拟
  • 150
  • 3

求助materials studio安装包

LeiGuanji
求助大家呜呜呜,需要做DFT,但是到处都找不到这个软件
计算模拟
  • 250
  • 5

PAM-RTM 干斑与气泡位置模拟,求助,谢谢

zc911101
在PAM-RTM软件模拟过程中,想要求解材料内部干斑出现的位置,但材料会全部充填完整,即使最后填充的部分没有出料口,按理说在那个位置以及其余部分流动前锋汇集处会出现气泡等...
计算模拟
  • 250
  • 5

微波器件及电路仿真

yqchen2008
有做微波器件、电路或组件功能性能仿真的吗?
计算模拟
  • 750
  • 15

打开autodock tool时出现下面这些,有谁比较清楚出了啥情况吗

Alexis刚
C:\\Users\\ZYG"C:\\ProgramFiles(x86)\\MGLTools-1.5.6\\python.exe""C:\\ProgramFiles(x86)\\MGLTools-1.5.6\\Lib\\site-...
计算模拟
  • 200
  • 4

Ansys装在Windows sever2012上

无家可归娃
各位老师,求教:网上下载了ansys2020r2,要装在服务器windowssever2012上。看网上说,会被限制使用核数。怎么解决啊?请熟悉的老师同学,师兄师姐,学弟学妹教我。
计算模拟
  • 150
  • 3

如何找到合适拟合函数模型?

巨猩奥尼尔
我用的MATLAB里的多项式函数以及1stopt中的快速拟合,虽然拟合优度可以达到0.99,但是将原有自变量带入拟合的函数中,实际值与计算值误差很大。怎么样才能找到最优的函数模型呢?我的是三维曲面拟合,已知拟合一个关于XY的三维曲面函数。请求各位解答一下!
计算模拟
  • 350
  • 7

ANSYS错误 Keypoints must be positive

豪鳕
ANSYS错误Keypointsmustbepositive。在用KDIST,KP1,KP2命令时出现,怎么回事啊
计算模拟
  • 150
  • 3

求助udf大佬,fluent中udf出口流量与刚体运动相关联的边界条件

lb2009000104
fluent中udf提取刚体运动的速度在出口流量中使用,也就是编写出口流量与刚体运动相关联的边界条件这种边界条件的可行性与方法,请大佬指点迷津。
计算模拟
  • 500
  • 10

求有偿工作站,可运行fluent

Caroline318
因博士留学面临休学,想打听一下有偿工作站的门路以及价格,还在规划阶段所以近期不会使用,目标运行三维fluent,希望有意愿出租工作站的同行可以私信或者留言,感激不尽~
计算模拟
  • 200
  • 4

变温积分反应器数据处理求动力学参数

360导航
固定床变温积分反应器,知道反应器轴向各点温度,反应器出口转化率,可以直接像等温反应器那样,直接作转化率和空时的关系图,然后求切线斜率,得出反应速率,再求动力学参数,是这样处理吗?望大神指导
计算模拟
  • 300
  • 6

有没有关于化工反应流程计算软件设计的团队或公司推荐?

biezhuzi
本团队基于公司构建的模型想开发一套具有普适性的用于化工气液反应器的流程模拟计算软件。软件的操作流程和aspen或者proII类似。反应器的模型暂设平推流和全混流两类。欢迎大家交流沟通,有兴趣或者推荐的都可以畅所欲言。谢谢!
计算模拟
  • 400
  • 8

澳门大学 应用物理及材料工程研究院 蔡永青课题组 博士招生(2021年秋季入学)

dielectric1
澳门大学(UniversityofMacau,UM)于1981年成立,是澳门特区唯一的一所由澳门政府全额资助的综合性多学科公立大学。经过35年的发展,澳大在教学、研究和社群服务领域均取得卓越的贡献,并已成功进入珠三角区最优秀的国际综合性大学之列,比肩香港科技大...
计算模拟
  • 250
  • 5

ANSYS 焊接温度场 如何合理设置焓enthalpy?

王小小幺妹儿
:最近在做ansys焊接温度场仿真,想求教一个问题,在设置材料属性时,需不需要设置焓enthalpy?本人在设置焓(数量级约为1e9J/m3)之后,熔池温度上升到3500℃,同时降温也特别快,热源撤走后,自然降温,2秒钟降到20℃室温,感觉不太对,请教各位如何...
计算模拟
  • 500
  • 10

1stOpt高版本代跑

我无耻又无赖
1stopt拟合参数比较多,希望有5.0以上版本的大神帮助运算一下,程序见附件,非常感谢!
计算模拟
  • 200
  • 4

求解四元含积分非线性方程组的解

地图开疆
向各位大佬求助:问题就是:含有积分的非线性方程组的求解,积分区间(4,16)已知,怎么求积分方程中的四个未知参数A0,A1,A2,A3这是我写的1stOpt代码,不知道哪里出问题了算不出ParameterA0,A1,A2,A3;Functionint(exp(...
计算模拟
  • 150
  • 3

Material Studio安装无权限

zju科研强
各位大佬,安转MS2017R2版本的时候,每次在最后一步licenseinstall的时候都会出现如图的问题,请问可以怎么解决?
计算模拟
  • 150
  • 3

【分子对接教程】蛋白/核酸/多肽-小分子对接(DOCK 6.9)

扯不断
用途使用ucsfdock6.9程序进行分子对接计算,研究蛋白/核酸/多肽与有机小分子的结合模式与相互作用。预备知识分子对接的算法流程1.将配体放置在受体口袋中,搜索/调整...
计算模拟
  • 4850
  • 97

一维石墨烯纳米带

残阳95
求问如何在ms里构建一维石墨烯纳米带
计算模拟
  • 1050
  • 21

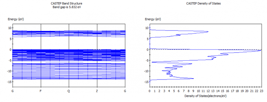
Material Studio 计算聚乙烯能带求助

zjf1
MaterialStudio计算聚乙烯能带,文献中禁带宽度在7eV左右,为什么自己仿真在5.832eV。请各位大神指教微信截图_20201011153701.png微信截...
计算模拟
  • 150
  • 3

招计算材料模拟方向科研助理,硕士,工作地点福州市,年薪8-10万

xychwei
福建师范大学陈巍教授课题组招材料计算模拟方向科研助理若干名(年薪8-10万)(一)学校及课题组简介:福建师范大学位于福州,是一所历史悠久、声誉斐然的百年高等学府,是福建省双一流重点建设高校。其化学与材料学院拥有化学学科博士后流动站;拥有化学一级学科博士学位授权...
计算模拟
  • 1200
  • 24

1stOpt中非线性拟合怎样限制参数的范围

a1993b522
下载了5.5试用版,按照操作说明编写了一个小程序用于曲线拟合,其中需要求解a,b,c三个参数,但c的范围为;Variablesx,y;Parametersa,b,c[20,30];Constanth=6.6262e-34,v=3e8,kb=1.381e-23;...
计算模拟
  • 150
  • 3

comsol计算渗流,怎么得到浸润线?

心跳703
comsol计算渗流,怎么得到浸润线?
计算模拟
  • 650
  • 13

1stOpt25pro管理员打开提醒是恶意文件

Mr_熊生
我都不敢运行,害怕是病毒,这个还能运行嘛?大家是不是也是这种情况
计算模拟
  • 200
  • 4

comsol在锂离子电池中的应用文献哪里有啊

HG2020必胜
comsol在锂离子电池中的应用文献哪里有啊
计算模拟
  • 250
  • 5

无定形SiO2在外电场下气体吸附的MS仿真计算

yaxika
各位虫友:想用MS仿真计算无定形二氧化硅气体的吸附,有熟悉的虫友给麻烦给以指导,1.无定形二氧化硅的构建。2.外电场下气体吸用哪个模块可以加外电场?或者其它方法也行,谢谢各位了
计算模拟
  • 150
  • 3

求大神一份利用MS计算材料热输运性质的教程,比如热导率,界面热阻

zhanglliang1
求大神一份利用MS计算材料热输运性质的教程,比如热导率,界面热阻
计算模拟
  • 500
  • 10
应助之星
下载小木虫APP
与700万科研达人随时交流
  • 二维码
  • IOS
  • 安卓