当前位置:小木虫首页 >> 计算模拟

MATLAB求解代数方程组问题,请帮忙

月只蓝
MATLAB求解代数方程组问题,请帮忙
计算模拟
  • 450
  • 9

求高手帮忙为小弟做一个四元回归曲线,高分悬赏!

kk1424
求高手帮忙为小弟做一个四元回归曲线,高分悬赏!
计算模拟
  • 150
  • 3

求取多解的非线性代数方程所有数值解的方法

月只蓝
0.引言一些非线性方程在实数范围内存在多解,本帖要讨论的正是求得所有的这些解的方法。多解方程,其解的个数不同,求解难度也不同,本帖将针对解个数较少和解个数较多的两种情况,...
计算模拟
  • 400
  • 8

Image Technology : Advances in Image Processing, Multimedia and Machine Vision

费姚永芬
Image Technology : Advances in Image Processing, Multimedia and Machine Vision
计算模拟
  • 350
  • 7

招聘!招聘!计算模拟版块实习版主招聘

月只蓝
因本版块管理需要,现招聘实习版主2名。1.必备条件1.1有能力、有耐心、有热情、有时间保证能够及时参与版块的管理;1.2注册时间≥6个月;1.3拥有金币数≥500个;1....
计算模拟
  • 200
  • 4

请问EMMS模型和Gidspow等曳力模型的区别?

学员dnEgGR
看模拟的论文,经常把Gidspow,BVK等模型放一起比较,却不讨论EMMS;讨论EMMS模型的文章里也不和Gidspow等曳力模型一块讨论。最近读论文读的有些晕,烦请大佬讲讲EMMS模型和Gidspow等曳力模型的区别
计算模拟
  • 1850
  • 37

求1stOPT高版本无参数限制的大牛 帮跑一组数据

kennydota2
求1stOPT高版本无参数限制的大牛帮忙拟合一组数据。大牛跑完可以贴一下计算后的实部和虚部的数据,本人感激不尽!复数拟合拟合公式:y=y1-i*y2=a1+a2/((1+(i*x/a3)^a4)^a5)-i*((a6+i*a7)+(2*pi*x)*(a8+i*...
计算模拟
  • 200
  • 4

VA One视频资料大全(附件视频)

musang2012
1、《vaone整车声学包开发》'http://www.jishulink.com/college/video/c12670'2、《vaone气动噪声仿真分析》'http://www.jishulink.com/college/video/c12651'3、《...
计算模拟
  • 600
  • 12

matlab 四个变量绘图

某k的小崽
请教一下各位虫友,准备将四个变量画成一个三维图上,可以用matlab或者origin,类似山峰图那种,有什么很好的办法吗?
计算模拟
  • 800
  • 16

Matlab或谁有其他软件的大佬,求帮忙,抱拳!

蝶之恋0026
求助!!!有哪位大佬可以帮忙解一下带参数的常微分方程组?需要拟合常数参数。方程如下图,数据如下:t时间(h)X(g/L)G(g/L)产物P(g/L)0.001.2990....
计算模拟
  • 200
  • 4

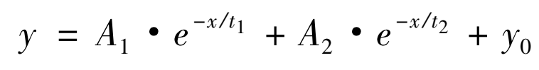
如何用最小二乘法拟合y=A1*exp(-x/t1)+A2*exp(-x/t2)+B,该函数的反函数如何求解?

orez
函数如下,带有2项e指数,该函数是Origin中的拟合函数之一,用途涉及x射线的衰减领域,怎样用最小二乘法进行曲线拟合呢,最好能够编程实现的。反函数又如何求解,感觉很难求...
计算模拟
  • 250
  • 5

NACA0018气动翼型数值模拟

哈士骑士
我在做NACA0018定常数值模拟的时候升阻力系数始终算不准,尤其是阻力。网格画过两种类型的,也用gambit和icem试过了,那种不按常理画的效果反而更好。我想求助一下...
计算模拟
  • 550
  • 11

如何在origin中将多个独立的worksheet合并到一个worksheet中?

小皮憨妮8692
如题,求助如何快速的在origin中将多个独立的worksheet合并到一个worksheet中?在测试数据时没有单独保存TXT格式的数据,所以没法通过直接导入TXT合并...
计算模拟
  • 150
  • 3

BP神经网络问题

新的起点,
请问,在用BP神经网络进行预测时,假设训练数据用某种归一化方法,比如最大最小值法,预测数据也需要归一化,这时候如果整体数据是随时间序列递增的,那么训练数据的最值与预测数据的最值就不一样,这时候该如何取归一化较合理?或者预测样本的输入数据大于训练样本的输入数据时...
计算模拟
  • 750
  • 15

vasp计算了NH4+带一个正电荷吸附在带一个负电荷的graphene上,求助

冻耗子的小鸡
最近看到一篇PRL文献在一个体系中vasp计算了NH4+带一个正电荷吸附在带一个负电荷的graphene上。一直没弄明白怎么在一个体系AB中同时实现A带正电,B带负电,静...
计算模拟
  • 350
  • 7

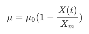
求解多参数非线性方程组数据拟合,拟合动力学参数,1stop代跑或matlab求解。

Mars_bc
动力学方程如下:菌体模型,方程一:方程二:方程三:参数范围:,X_m=,y_{x/G}=,m_G=,\\beta=latex]数据:t(h)x(g/L)G(g/L)P(g/L)0.001.2990.500.006.002.8187.500.0012.007.1...
计算模拟
  • 150
  • 3

LAMMPS 计算self-intermediate scattering function

afan0012
各位大虫好!小弟想要通过计算SISF来确定alpharelaxationtime,但是结果和文献中有很大的出入,如图所示。短时间内好像是正常的,长时间看会衰减到0,也是正...
计算模拟
  • 250
  • 5

有偿数据模拟计算

慕容晓晓
哪位老师可以做XPS数据分析以及第一性原理计算,请站内联系。
计算模拟
  • 200
  • 4

有限元计算,有偿

慕容晓晓
哪位大神可以做这块计算呢,有偿。
计算模拟
  • 200
  • 4

怎么使用oringin、matlab或spss自定义余弦函数

钟声入翠微
求助!如何用软件自定义函数y=Acos(ωx-φ)+b,ω=2π/365.
计算模拟
  • 300
  • 6

关于ansys act 插件-ncodeweldline.wbex

guoxinghf
请问有哪位朋友用过关于ansysact插件-ncodeweldline.wbex?哪里获得?谢谢
计算模拟
  • 300
  • 6

有数学大佬会用蒙特卡洛方法解决二重嵌套积分吗,重金求!

张广栋
有没有大佬佬会用蒙特卡洛方法解决二重嵌套积分呀,重金求!
计算模拟
  • 1300
  • 26

没有解析解的微分本构方程如何拟合数据

动影随心
以下是我的微分本构方程,其中sigema与yibuxitong均为关于t的函数,现有sigema与yibuxitong的试验数据,如何用该微分本构方程拟合数据?求编程代码...
计算模拟
  • 550
  • 11

求助!三个未知数 四个方程用1stopt(Anto2Fit)约束优化

fugitivesk
计算小白,新来的没啥金币用的Anto2Fit5.5试用版(明明三个parameters为啥说超出四个了)方程都比较长不知道为什么三个未知数会出现四个结果第四个结果好像是我...
计算模拟
  • 500
  • 10
应助之星
下载小木虫APP
与700万科研达人随时交流
  • 二维码
  • IOS
  • 安卓