当前位置:小木虫首页 >> 有机

二氧化碳羧酸化反应操作

zhanghuaiy
最近做溴锂交换,然后与二氧化碳反应生成羧酸,二氧化碳采用干冰制取,气球收集,然后插入到反应瓶中,请问:方案1、带针头的气球插到液面以下,反应瓶塞插上针头,导出气体;2、带针头的气球插到液面以上,仅提供二氧化碳的氛围,请问各位大侠,两种方案,哪种可行、产率高?有...
有机
  • 200
  • 4

苯磺酰氯与吲哚

CharlieCH
苯磺酰氯与3甲基吲哚反应0℃氢氧化钠THF2h请问怎样减少杂点多次点板发现主点一直不清楚过柱子也是事倍功半只有最上方的两个原料点好分离请问大佬做这类反应有啥经验?3048...
有机
  • 250
  • 5

丙烯酸叔丁酯脱叔丁基

王先生0518
各位大佬,我想请问一下,丙烯酸叔丁酯在三氟乙酸/二氯甲烷的混合溶液中脱去叔丁酯的同时会不会对其他酯键造成影响,我做的是一个MMA和tBA的一个聚合物,脱叔丁酯制备丙烯酸,...
有机
  • 400
  • 8

求助 这个反应反应物是什么,机理是怎样的,谢谢

Lever
如题,这个是最近做的一道练习题,在下才疏学浅,没见过这个反应,请诸位赐教
有机
  • 550
  • 11

4,4-对位高含量双酚F,主要用途是有哪些?

林建国
目前有工业化的双酚F,44对位含量90%,主要是催化剂有突破,现在想知道高纯度双酚F用途
有机
  • 550
  • 11

关于赤式和苏式的命名

LING000
大佬们,它这里苏式和赤式怎么理解呢?实在不知道怎么理解。4A9LF]0J3)C1PQUQ]CYVR4.png
有机
  • 200
  • 4

三光气活化喜树碱实验求助

Loyalty
文献介绍,将喜树碱,DMAP溶解在无水二氯甲烷中,氮气保护下加入三光气。室温下搅拌30min-1h,,悬浊液会变清。但是做了两次,还是悬浊液,最后反应也没有完成。请教一下...
有机
  • 550
  • 11

精细化工建立高科园区

yuyigu1969
精细化工不同于传统化工,传统化工现在已经是劳动密集型产业了,但是精细化工一般都是在高科技园区里,一般研究的部门都是有很多资金支持的
有机
  • 400
  • 8

CBS催化剂和BH3把酮还原为手性醇,做不出来啊,求帮助!

我就不捡
这个反应做了10遍了,都没成功,文献报道96%产率。但是我只有10%,无水操作,0度反应,点板看不见产物,就是几乎全部原料都没反应,到底是什么问题啊!
有机
  • 150
  • 3

请问两个新化合物晶体加活性的文章能否发SCI

shanxibob
请问两个新化合物晶体加活性的文章能否发SCI?是什么期刊?
有机
  • 350
  • 7

硝基还原成氨基,用的氯化亚锡怎么后处理呢,结构中氨基邻位是酚羟基

jing25898
硝基还原成氨基,用的氯化亚锡怎么后处理呢,结构中氨基邻位是酚羟基
有机
  • 150
  • 3

为什么Mitsunobu 反应没反应

well9103
反应将一个苄醇和一个仲醇先溶解在无水二氯甲烷中,然后加入三苯基膦,最后加入DEAD,室温反应了4个小时后,点板发现没有反应。哪位大虾能知道一下我下一步可以怎么办呢?
有机
  • 450
  • 9

丙二腈发黄原因

ysx177257
丙二腈不是无色晶体吗,为什么从sigma直接买来的丙二腈(99%)发黄发黑,是合成工艺的问题吗,发黄的原因是什么呀?
有机
  • 400
  • 8

有机合成转行交流群--更新0728

3805969
夏天来了,做合成的小伙伴还好吗…邀请那些合成转行成功的小伙伴,有想法转行的小伙伴一起交流分享吐槽。0728.png
有机
  • 150
  • 3

Sandmeyer 反应在制备重氮盐时,加入亚硝酸钾过快,温度飙升有没有问题

李在弦
如题,我的反应原料是对氨基苯甲酸,加入浓硫酸后,反应烧瓶放入冰水浴中。本来文献上说要缓慢加入亚硝酸钾,但是我手抖加入较多,温度显示超过50度,过了十分钟左右温度才重新降到零度,请问这对反应有什么影响?会发生缩合反应吗?因为羧基,氨基,浓硫酸都存在。还是有别的副...
有机
  • 650
  • 13

傅克反应主产物总水解怎么办?

风马牛1213
用的新alcl3,超干dce,冰浴下加alcl3,氮气流保护,总是要的很少,10%左右,主产却是实异丙酯水解掉了,请问是什么原因?而且反应液质比较乱。另外请问这种反应应该...
有机
  • 200
  • 4

铃木偶联反应产率低

wyf.yf
有前辈们在吗,本人刚做有机合成不久,最近在做铃木偶联反应。查了一些文献,选用了THF和水9:1体系,原料5-甲醛基噻吩-2-硼酸和4-溴三苯胺,充氮气,碳酸钾2.5当量,3%的四三苯基膦钯催化剂,反应16小时,后处理就是旋干了DCM溶解直接柱层析。做得出来但是...
有机
  • 250
  • 5

精细化工前景良好

loukuyi249
从对精细化工的发展情况来看,前景是非常看好的,如今经济的发展带动着科学技术不断提升,这项技术受到相关学者的更大关注度,发展的整体速度与科学技术几乎可以说在同步提升
有机
  • 350
  • 7

成都科隆试剂怎么样呀

凡人一刻
最近买药品,都是毫克级别,国外的太贵,看到科隆试剂国产,级别便宜。不知质量怎么样
有机
  • 200
  • 4

四氢铝锂可以还原和硝基共轭的双键为什么啊

木木木木头1
四氢铝锂可以还原和硝基共轭的双键为什么啊
有机
  • 150
  • 3

三氯氧磷与醇羟基反应

muxinghe
最近在做这个反应,冰水浴下滴加三氯氧磷,但是产率非常低,而且有很多单取代和双取代的产物,没有转化为我要的三取代的产物。用的溶剂二氯和缚酸剂三乙胺都是重蒸过的,三氯氧磷也是...
有机
  • 300
  • 6

请问大家有和成过这种化合物的么?反应条件是怎样的?

congifer
请问大家有和成过这种化合物的么?反应条件是怎样的?2F3T1I)Q_F9WWX$0}_18HW.png
有机
  • 350
  • 7

醛基和卤代烃是否能反应?能反应的话会生成什么?

MQ0902
醛基和卤代烃是否能反应?能反应的话会生成什么?下面两个化合物TLC点板时,混合有新的斑点产生,极性比两个化合物稍大1596006514(1).png
有机
  • 150
  • 3

植酸钠的溶解度曲线

zcht QSJ
大家好有没有知道植酸钠溶解度的?感谢!
有机
  • 150
  • 3

甲醇,乙酸乙酯旋转蒸发条件

我爱化学13
想请问各位虫友,你们一般旋转蒸发甲醇的温度真空度设置是什么,有什么注意事项。还有乙酸乙酯旋转蒸发的条件和注意事项
有机
  • 200
  • 4

求解此反应的具体机理。

Chemshift
求解此反应的具体机理。
有机
  • 5250
  • 105

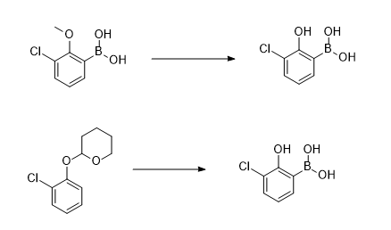
芳基硼酸的合成

organic8983
如图,合成一个硼酸结构,上面的是最后一步是脱甲基,试了三溴化硼,结果得到的东西HNMR芳区乱糟糟,不是目标产物。但是没掉甲基的前体是经过HNMR确证的。下面的是采用邻位锂...
有机
  • 150
  • 3

以这个化合物为原料的还原胺化反应

feixiaojiang
以此底物做还原胺化,常规方法只能看到产物,有虫友做过类似的反应,求指导意见,谢谢;untitled.png
有机
  • 700
  • 14

三溴化硼脱甲基实验

fj沈炜良
求助广大虫友,我现在在做脱甲基的实验,但是反应过夜后还是原料,不知道是什么原因…我实在冰盐浴滴加三溴化硼30eq,室温反应过夜。ms显示几乎都是原料,产物信号极其微弱,快奔溃了
有机
  • 550
  • 11

新手求助,过硅胶柱子的问题

我爱化学13
文献中有一段描述如下图,最后一步写到浓缩有机物后过柱子,我理解是旋蒸乙酸乙酯,然后再过硅胶柱,这个过程我不太能懂,也搜了一些资料。想问这个硅胶柱的硅胶目数,硅胶用量,洗脱...
有机
  • 400
  • 8
下载小木虫APP
与700万科研达人随时交流
  • 二维码
  • IOS
  • 安卓