小木虫
登陆
|
注册
首页
导读
期刊
发现
社区
招聘老师
当前位置:
小木虫首页
>> 有机
Bpin是什么基团,结构式怎么画?
ljh06
如题
有机
150
3
关于正癸酸和十二醇
小cai蔡
请问正癸酸和十二醇有挥发性吗?会不会与铝制坩埚反应,如果反应,其发生反应的条件是什么?是否可以用瑞士METTLER热分析仪(TGA/SDTA85e)来测试
有机
150
3
有没有粘度跟水接近,但是沸点比较高的液体?
我叫小阿光
如题,沸点能到200度就行,最好性质比较稳定的,谢谢指教。
有机
400
8
求有关氰基成酰胺的反应条件
王丽芬
只试了浓H2SO4,测熔点不是产物,是不是用错方法了。是个萘环,7位是个甲氧基。大神们有没有相同的例子。
有机
800
16
求助:醛基和肼生成腙键的反应 做不出来反应 求大神指点
才可子
现在需要用巯基苯甲醛与偏二甲肼反应合成腙,但是偏二甲肼买不到,试剂公司说是剧毒物,只能买到偏二甲肼盐酸盐。有没有做过类似反应的同学?跪求指点。偏二甲肼盐酸盐需不需要加入碱...
有机
400
8
东西跑硅胶板在原点不动,纯甲醇都跑不起来,怎么回事?
yorvee
极性会有这么大吗?我的原料是糖,极性已经挺大的了,但是投完反应后点的点比糖还大,连纯甲醇都跑不起来,怎么回事呀?我是用甲醇和盐酸在做一个水解,我之前有怀疑是生成盐酸盐,但是我的东西是酸性没有碱性,怎么会生成盐酸盐呢?而且就算是盐酸盐,也不至于跑不起来吧。。。。...
有机
150
3
CBT的紫外吸收波长
19962020
有知道CBT的紫外吸收波长多大的么
有机
600
12
精细化工在一定意义上反映社会发展
yuyigu1969
精细化工的生存可以在一定意义上反映出社会发展,近年来,精细化工的发展在我国越来越得到重视,已经成为化工行业的战略要点,同时也是新材料的重要组成成分。现在精细化工已经被列入多项国家计划中,得到了政策、资金的大力支持
有机
250
5
米力农的合成问题
zhnoy
本人正在做米力农的合成。目前各项指标都合格,唯有澄清度问题一直不合格,各种酸碱提纯,各种溶剂重结晶都不好使。有没有哪位大神做过这个项目,指点下,不胜感激。
有机
400
8
全氟酰氟化合物质谱结果比化合物分子量少了21,F是19,这个21是什么呢?
yuanjijoy
全氟酰氟化合物质谱结果比化合物分子量少了21,F是19,这个21是什么呢?
有机
250
5
求问甲烷在环氧乙烷装置中起什么作用?
yanzieg
甲烷送下游环氧乙烷装置使用。求问甲烷在环氧乙烷装置中起什么作用?
有机
200
4
最近在做一个上boc的反应
Miraiii
反应结束后点板准备过柱子,遇到一个问题,我用之前存好的原料(放了一周,在pe管里存放);今天将反应液与原料点板,发现原料里有好几个点并且与反应液中几个点高度重合,觉着不对劲,于是重新取原料溶解之后点板,此时的原料就只有一个点与反应液中重合;此反应要反应24h以...
有机
150
3
固态下有机化合物荧光测试
teng251344
固态下有机化合物的荧光测试怎么测?TUDKA5BU)`)NX{X2%WNEZQ3.png
有机
250
5
请问文献中的turnover-limiting是啥意思?谢谢
xiaobochine
请问文献中的turnover-limiting是啥意思?谢谢
有机
150
3
DMF/碳酸钾 体系
念念不忘nnnn
有做过DMF/碳酸钾体系的前辈没?发现碳酸钾在DMF中溶解度不大,这样对实验有没有啥影响啊?
有机
350
7
烯胺双键上NBS问题
jktc
各位大侠,最近在做一个烯胺双键上溴的反应,底物除了烯胺双键,还有一个双键,文献给的建议是叔丁醇为溶剂,加入盐酸,溶解底物,0℃反应半小时,我按照文献重复,发现水解产物和溴代物,几乎1比1,因为是烯胺,极易在酸性条件下水解,请问各位大侠,有没有其他的好办法,谢谢...
有机
150
3
如何查中国专利
jpingmao
如何查中国专利
有机
400
8
有机小分子溶解找不到合适的溶剂
小weiweisky
如图所示的有机分子,求教用什么溶剂溶解,目前已经试了二氯甲烷、四氢呋喃、氯苯、DMF、乙腈、1,3-二氯丙烷都溶不了,不知道要怎么试了图片1.jpg
有机
1100
22
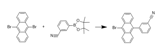
偶联反应产率很低
Yjeng
恳请各位大佬帮帮忙,我最近做了图中的反应。第一次溶剂是甲苯和水,碱用的碳酸钾,催化剂用的三苯基膦钯,温度95。产率很低基本没反应。后来溶剂换了二氧六环,四氢呋喃,还试过甲...
有机
650
13
格式试剂制备问题
Jack_Hu9
求助各位虫友,第一次尝试利用格式试剂做这个环合,用Mg,DMF,氮气保护,用碘引发,先是常温后升温到60度,感觉Mg一直一点反应都没有。大家觉得这个苯环上这个溴的格式试剂...
有机
250
5
求助:近五年出版的有机化学教材电子版
juanzi875
求助:近五年出版的有机化学教材电子版(另,请问为何论坛里面现有的有机资源都下载不了),谢谢!
有机
200
4
滴加大量正丁基锂的反应如果失败,如何对反应液进行淬灭
willsoo
如题,生产上滴加大量正丁基锂的反应,如果失败或者遇到异常情况需要终止反应,如何对反应液进行淬灭,谢谢
有机
500
10
现在小木虫没法下载书籍资料了吗?
听箫居士
下载一本5M的书,刚开始时有十几k的速度,慢慢就变成0了,然后就提示无法下载了是小木虫的问题还是啥别的?
有机
400
8
吲哚-3-甲醛的合成
2015021275
求助用dmf,三氯氧磷,吲哚合成吲哚-3甲醛的文献
有机
150
3
4A分子筛在溶剂中浸出问题
百事可乐
最近用4A分子筛干燥了乙二醇单甲醚(CH3OCH2CH2OH),然后用乙二醇单甲醚作溶剂溶解DDQ(2,3-二氯-5,6-二氰对苯醌),溶液显红色到深红色;但是没有浸泡过分子筛的干燥的乙二醇单甲醚溶解DDQ时显淡黄色,颜色很浅。这个对比就表明分子筛在乙二醇单甲...
有机
150
3
求教2,3,5-三氯吡啶的提纯方法
w1y12
求教2,3,5-三氯吡啶的提纯方法
有机
200
4
溶剂DMF到底该怎么除啊啊啊啊啊啊啊
1800273
(溶剂差不多是20mldmf6ml甲醇这样)试过旋蒸,水浴80℃,真空度0.093,蒸不出。产品不溶水,滴一滴到5l去离子水,没有反应。现在旋蒸水上加了一层油,90℃,还是蒸不出……有点崩溃了,溶剂也是试了又试只有这种万能溶剂才行
有机
750
15
索氏提取上边不回流,下边回流
烟雨舟行
300ml四氢呋喃加30ml水,140℃索氏提取,请问为啥上边冷凝管不回流,都从提取器里直接回流到圆底烧瓶里了
有机
1150
23
求助:室内温度对suzuki反应影响大吗
药化颜究生
之前做suzuki可以反应的,最近再做就重复不出来了,反应完成点板还是反应物的点,没有产物点,不知道是不是最近室内温度高影响的
有机
300
6
文献中有用到戊烷干燥,第一次见到这种情况,不是很理解具体操作,求助各位老师
Kashiwagi
文献中有用到戊烷干燥,第一次见到这种情况,不是很理解具体操作,求助各位老师
有机
150
3
30902
1 ...
‹‹
53
54
55
56
57
58
››
... 1031
板块导航
网络生活
育儿交流
健康生活
有奖问答
资源共享
课件资源
试题资源
化学化工
有机
高分子
无机物化
分析
催化
工艺技术
化工设备
化工
精细化工
电化学
环境
专业学科
机械
物理
数学
农林
食品
地学
能源
信息科学
理工农林
科研生活
博后之家
专业外语
外语学习
导师招生
找工作
招聘信息
考研
考博
公务员
生物医药
新药研发
药学
药品生产
分子生物
微生物
动植物
生物科学
医学
材料
材料
材料工程
微米纳米
晶体
金属
非金属
生物材料
功能材料
复合材料
计算模拟
第一原理
量子化学
计算模拟
分子模拟
仿真模拟
程序语言
学术交流
论文投稿
基金申请
学术会议
出国留学
留学生活
公派出国
访问学者
海外博后
留学DIY
签证指南
出国考试
海外院所
注册执考
化工工程师
执业药师
执业医师
环境工程师
会计师
注册考试
24小时热帖
换一批
求个博导看看
17
青基代表作,AAAI之类的A会的special track在国内认可度高吗?还是归为workshop之流?
3
上海工程技术大学【激光智能制造】课题组招收硕士
6
带资进组求博导收留
11
自荐读博
5
应助之星
tfang
+关注
下载小木虫APP
与700万科研达人随时交流
二维码
IOS
安卓
欢迎监督和反馈
:小木虫仅提供交流平台,不对该内容负责。
欢迎协助我们监督管理,共同维护互联网健康,违规贴举报删除请联系邮箱:xiaomuchong@tal.com
(点此查看侵权举报方式)
我们保证在7个工作日内给予处理和答复,谢谢您的监督。
©2001-2026 muchong.com,小木虫
京ICP备16008351号
京公网安备 11010802022153号
Copyright © 2001-2026 muchong.com, All Rights Reserved. 小木虫 版权所有