当前位置:小木虫首页 >> 有机

有机合成中催化剂的当量该怎么和摩尔量换算?

空空。
看到这篇文章中利用了DCC和DMAP作酯化反应的脱水剂和催化剂的合成文章,但是这个原料的用量该怎么换算呢,和摩尔量有什么区别吗?还请问虫友们可以帮忙解答的,谢谢啦!这是这...
有机
  • 750
  • 15

芳基硼酸中的杂质

液晶中间体
最近用乙基溴苯通过格氏做乙基苯硼酸,有一个乙基苯酚杂质,对下一步偶联反应有影响,产生一个难除的杂质。各位大佬有什么办法除掉这个酚杂质
有机
  • 900
  • 18

吲哚上的NH在碱性条件下会不会让环氧开环发生反应

LuKingsnM
如题,碱性条件下吲哚的NH变成氮负离子,能否和环氧反应
有机
  • 150
  • 3

有谁做过糖苷的smith降解吗?求助

yorvee
我的东西其实是一个单糖,但是普通酶解和水解产物苷元不是很稳定。我看资料说smith降解比较适合用于苷元不稳定的糖,我就想试一下。谁有做过这个的吗?可以不可以指导一下或者给几篇参考性文献看看呀
有机
  • 250
  • 5

文科生倾家荡产请教二恶烷相关的问题

盐蒋葱花鱼
本人是社科专业,最近在研究的问题和二恶烷相关,完全是门外汉,有一些问题想请教大家。初来乍到,金币很少,还请见谅(已经全部用来悬赏了呜呜呜)10年霸王洗发水被爆出二恶烷超标,据我所知二恶烷普遍存在于日化产品中,不仅仅是洗发水,像沐浴露乳液牙膏等等也都含有。二恶烷...
有机
  • 150
  • 3

核磁共振分析混合物 动力学同位素效应测定?

瑞蒙娜
哪个大神了解如何用核磁共振得到反应体系的物质积分结果计算动力学同位素效应?
有机
  • 850
  • 17

Sonogashira偶联反应

Rise?R
本人实验小白,最近在做Sonogashira偶联,想问问各位大神在用四三苯基膦钯作催化剂的时候加三苯基膦的作用是什么,另外如果用二价钯作催化剂的话还需要加三苯基膦吗,如果加了有什么影响?谢谢各位大神解答一下
有机
  • 150
  • 3

油状粘稠液体重结晶

aaaassggvvft
我想用重结晶的方法把产品提取出来,但我把反应液溶剂旋蒸后还是油状液体粘稠(极似麦芽糖)。点板点出来是一个点然后下面有一个很淡很淡的点,我的产物应该为白色结晶的原料也是固体。用这个油状液体试了好多溶剂也不能重结晶。溶于甲醇也易溶于水。。请各位大神帮忙啦..
有机
  • 150
  • 3

求舍曲林中间体4-(3,4-二氯苯基)-1-萘满酮合成工艺

xl2088131
求舍曲林中间体4-(3,4-二氯苯基)-1-萘满酮合成工艺
有机
  • 150
  • 3

正丁基锂的使用

ghuyk
为什么我用针管取完正丁基锂后针头会堵住啊?
有机
  • 350
  • 7

2-硝基间苯二酸还原

夏至已远
2-硝基间苯二酸用硼烷还原后用DCM/MeOH过柱子,结果什么东西都没出来,可能是什么原因?
有机
  • 600
  • 12

本人急需寻找水性丙烯酸乳液专家

化学实习生
本人寻找水性丙烯酸树脂专家,把我的植绒胶水做出来牢度好,耐水性好的,弹性强的有重金感谢!具体面谈,站内联系。我告诉你联系方式。
有机
  • 200
  • 4

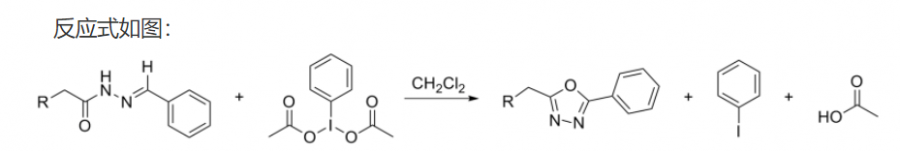
反应机理求助。

comingli
各位大神,能帮我解释一下酰腙和碘苯二乙酸环合生成噁二唑的反应机理么?具体反应如图所示(带图解释最好了)机理.png
有机
  • 150
  • 3

赖氨酸两个氨基有没有办法分开保护?

SKT-Faker
赖氨酸两个氨基我想分开保护,然后在后续的操作中,分开脱保护,有没有什么方法可以做啊
有机
  • 250
  • 5

实在是看不懂,哪位大神能给讲一下反应机理,100金币求大神

爱你的大白菜
如下图的反应,哪位大神能给讲讲反应机理埃谢谢大神。小木虫2.png
有机
  • 200
  • 4

叔丁酯的碱性水解

雨卷书莲
通过过柱子得到了一个叔丁酯的化合物,tcl点板发现过柱子完的产物不纯,除了叔丁酯还有一点点原料混在里面。要对他进行碱性水解。第一次进行水解反应,还不太会。叔丁酯的化合物是油状物,加入2ml甲醇溶解,加入6mlnaoh水溶液,烧瓶内有少量沉淀析出,室温搅拌反应6...
有机
  • 300
  • 6

氨基酸衍生化怎么避免形成多肽

LULULALALA
本人想用含氨基的衍生化试剂与氨基酸的羧基反应,但是发现产物出现了多肽,没有得到衍生化产物,请问怎么避免这种现象的发生?反应条件:HATU,HOBT,TEA,室温
有机
  • 350
  • 7

环氧树脂的易皂化率和环氧值的关系

111303125
环氧树脂的易皂化率和环氧值之间有没有量的关系
有机
  • 150
  • 3

醛是否可以在加热铜条件下氧化成羧酸

哈哈哈意
醇可以在加热铜中氧化为醛,那么不改变反应条件继续用加热的铜可以将进一步醛氧化为羧酸吗?
有机
  • 500
  • 10

硼改性聚硅氮烷,耐高温,有同方向的虫可以聊聊

橙黄蓝
改性有机聚硅氮烷,具有优异的耐高温性能。是一种新型的能实现常温下表干的溶液,可在250-500度热固化的含硼有机聚硅氮烷;可做为陶瓷前驱体,在800度以上的高温环境下实现涂层陶瓷化,形成致密的涂层,具有优异的耐温性能,漆膜硬度达到7-9H;性能特点-可在室温下...
有机
  • 300
  • 6

芬顿法治理VOCs废气

定位决定地位
有没有小伙伴知道芬顿法如何治理VOCs废气?
有机
  • 250
  • 5

硅氢与氢气的协同催化

注册用户名1
各位大佬,最近做一个实验,硅氢与H2同时作为氢源参与还原时反应时,效果优于单独加其中某一个氢源,但是不知道硅氢与氢气同时作用的反应机理是什么样的,请问各位我该如何验证它们的反应?有没有相关文献推荐?请各位大佬踊跃回应
有机
  • 250
  • 5

乙酰乙酸乙酯和苯胺反应石油醚直接冲还是过不开,点板分的很开是怎么回事

学员B1BXCN
乙酰乙酸乙酯和苯胺反应石油醚直接冲还是过不开,点板分的很开是怎么回事
有机
  • 200
  • 4

卤代烷的亲核取代及消除反应

Pepperminter
图片一:消除反应应该遵守扎伊采夫规则,按照扎伊采夫规则,那么得到产物与答案不同,如果按答案,难道是因为得到产物更稳定?图片二:给一个反应物和试剂发生反应,怎么样判断主要是...
有机
  • 200
  • 4

求助完整的化学方程式

huilizhang
求助完整的化学方程式(包含副产物,配平)以3,3\',4,4\'-四甲基二苯醚、高锰酸钾为原料制取3,3\',4,4\'-四羧基二苯醚,然后经过滤、酸化、萃取得到3,3\',4,4\'-四羧基二苯醚。
有机
  • 150
  • 3

gc-ms定性化合物就是鬼扯

nhhuang1223
发现gc-ms定性化合物就是鬼扯
有机
  • 400
  • 8

4,4二羟基偶氮苯与溴代烷烃的醚化反应

yjihgef
求助各位大侠,最近在做4,4二羟基偶氮苯与溴代烷烃的醚化反应,想获得双取代产物。试过下面两种反应条件:1.碳酸钾、碘化钾、丙酮,加热回流48h,只得到极少量产物。2.碳酸钾、DMF,90度反应,基本不反应。请问反应条件该如何优化啊,溴代烷烃加多少合适?谢谢!
有机
  • 150
  • 3

求苯基异丙基酮的中文和英文文献

ll119930
苯和异丁酰氯反应生成苯基异丙基酮,催化剂除了三氯化铝,还有什么可以替代吗?求这方面的文献
有机
  • 250
  • 5

CAS 458-36-6松柏醛的合成路线及对应文献

guyulong
求助CAS458-36-6松柏醛的合成路线及对应文献,中英文都可以。
有机
  • 200
  • 4

氨基酸环内酸酐能与二醇反应吗

SKT-Faker
-氨基酸-NCA能与二醇反应吗,反应条件是什么样的,有没有参考文献之类的
有机
  • 150
  • 3
应助之星
下载小木虫APP
与700万科研达人随时交流
  • 二维码
  • IOS
  • 安卓