小木虫
登陆
|
注册
首页
导读
期刊
发现
社区
招聘老师
当前位置:
小木虫首页
>> 有机
取代吡啶N上氨基
冷静多喝水
小弟最近在做3,5位取代吡啶和HOSA(羟胺-O-磺酸)反应,拟在取代吡啶N上连一氨基,在后处理加HI欲制成相应的碘盐,冷冻之后拿不到固体。若采用MSH(O-2,4,6-...
有机
350
7
克莱森缩合反应条件
nllazyx
用苯乙酸乙酯与碳酸二乙酯为原料,乙醇钠为催化剂进行克莱森缩合反应制备苯基丙二酸二乙酯的条件。
有机
150
3
THF被饱和食盐水洗过后,大约含多少水?
崔俊才
THF被饱和食盐水洗过后,大约含多少水?
有机
500
10
合成路线和文献
xie1221
如下反应路线请问用什么氧化,以及后处理。untitled-1.gif
有机
700
14
请问磺酰胺与酰氯反应,产物极性大小
爱你的大白菜
请问如下图,产物极性是比原料极性大还是比原料极性校我实在是找不到产品点。在tlc板子下面有三个极性产物点。xiaomuchong1.png
有机
500
10
吲哚苯环上硝基钯碳加氢还原成氨基,有杂点
Dear_oo
有机小白,反应如图一,乙酸乙酯作溶剂,反应30-40分钟。TLC板如图二,第一个点就是反应液点,第二个是底物标样,第三个是我产物标样(已核磁确定),在产物点下面会有杂点,...
有机
350
7
bruker软件求助
sundell
各位大声:小弟求助一个做核磁的软件:Bruker,我手里的是2.1版,可我不知道如何安装,安装后好像还需要设置什么参数或是进行注册之类的,之前是别人帮我弄的,现在他也不记得了向各位前辈求助,如何弄,或是谁手里有这款软件,可否分享给我一下,万分感谢!
有机
150
3
求助化合物CAS号
huilizhang
求助化合物CAS号联苯四酸钠1.pngFDN.png
有机
150
3
酰胺类反应求助
rodin001
各位虫友,最近在做酰胺类反应,2-唑烷酮与氯代试剂反应,使用dmf做溶剂,氢化钠做碱,老是处理不掉dmf副产物,反应也不是很明显。由于紫外荧光也不强,而且只有硅胶板,每次tlc监测以及用氧化铝过柱观察十分费劲。前面用dcc和hobt做缩合反应也是点板观察不明显...
有机
300
6
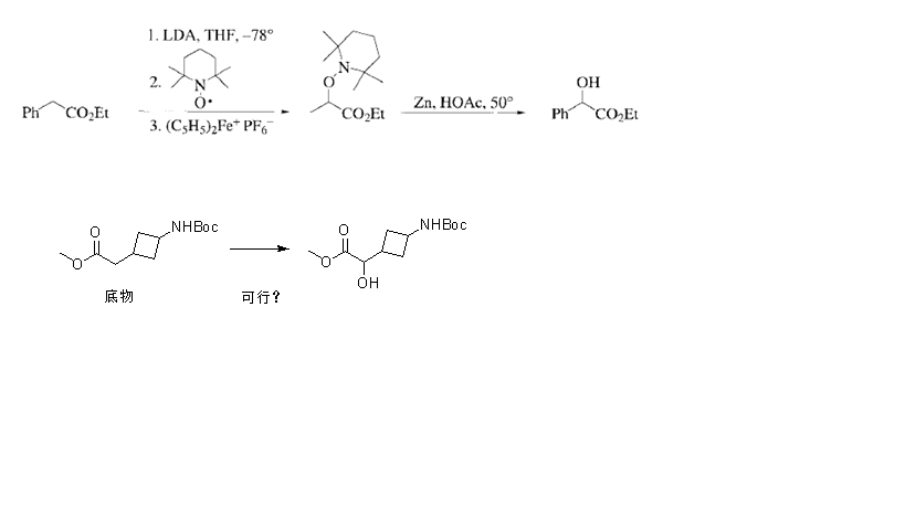
羰基(酯)α位氧化上个羟基
ni.windy
想在羰基(酯)α位氧化上个羟基,参考文献使用lda拔氢形成烯醇后,加入tempo,二茂铁六氟磷酸盐但是我的结构中含有一个酰胺氢,不知是否可行?本反应机理是怎么样的,二茂铁...
有机
150
3
不与氯气在偶氮类引发剂下反应的溶剂
hy-wtt
做个氯化实验,想找一个不与氯气在偶氮类引发剂下反应的溶剂,除了氯苯外,二氯乙烷、甲苯、氯仿、1,4-二氧六环都做过实验了,在引发剂下,都与氯气反应,大家有推荐的吗?谢谢了
有机
200
4
α-氨基酮的异构化,如何改善?
蓝晶梦女
α-氨基酮的异构化,如何改善?
有机
2550
51
差向异构体拆分
丫丫135110
可以用左旋酒石酸吗?及它的原理
有机
150
3
硼酸脂变羟基的反应机理
啄木鸟先森
我投了一锅硼酸脂变羟基的反应,条件参考了一篇angew,加过氧化氢和氢氧化钠,核磁分析副产物是硼酸,但是有一个奇怪的现象,随着反应时间长副产物点板子变浓了。大概查了下资料...
有机
300
6
求助大佬们,这个反应的反应机理是什么(最好说出具体的经典人名反应)
茉上~花开
求助大佬们,这个反应的反应机理是什么(最好说出具体的经典人名反应)
有机
150
3
分离提纯去除PEG
焉藏锋
反应中将聚乙二醇当做钝化剂,反应后如何除去,超滤,透析等方式太繁琐,耗时,有没有大佬了解怎么在常温下让他分解?
有机
150
3
季铵化反应能生成交联物吗
在我辛中
N-甲基咪唑上的有两个叔胺(1#、3#氮)(如下图),在双卤代烷烃过量的情况下这两个位置上的叔胺都会反应吗?会形成交联物?需要加热等其他条件吗?谢谢!1.png
有机
200
4
求助 氢键问题
月亮打哈欠
这个分子中F原子可以与酰胺氮上的氢形成氢键吗?
有机
200
4
求助偶联反应中收率和转化率的计算问题
gnx1993
A+B——A-B+A-A+B-B在这个反应中,除了生成目标化合物A-B外,还有两个底物A和B的二聚体,此外还有部分A和B底物没有反应完,求问这个反应中转化率和产率都是怎么计算。
有机
150
3
水解反应,不反应怎么回事?
蓝蓝LLLLL
酯的水解反应,不知道为什么这个酯特别牢固,用氢氧化钠水解,加热反应了一天,点板还是没有产物,只有原料点。求大神指点啊,之前做胺酯交换也是用neat反应,也是不反应。159...
有机
250
5
有用9-bbn做过烯烃反马氏加成的吗?
yorvee
为什么我的这个做不出来呢,一个末端双键。你们的THF是直接投的,还是经过了一些除水操作?我反应了几小时点板看依然是原料点,没有动过。
有机
350
7
我有一瓶老美混合好的有机溶剂,用什么检测方法可以看出里边的物质构成和所占比例?
Nap栀子花开
我这里有一份老美的混合后的有机溶剂,但不知道里边具体是什么物质,想解析其中物质的构成和所占比例。猜测可能是烷烃类白油+乙二醇+醋酸乙酯+油酸甲酯的混合物。请问,我该做哪些分析检测,才能分析出里边具体是什么物质,以及各物质所占的大致比例?或者我该看什么书才能知道...
有机
450
9
葫芦脲【7】的核磁氢谱
巡山的瞎子
请问想做个CB【7】的核磁氢谱,请问最少用几mg就够了?2~3mg够吗?
有机
150
3
为什么我用注射器取完正丁基锂后拔出来的时候针管会漏啊?
ghuyk
为什么我用注射器取完正丁基锂后拔出来的时候针管会漏啊?滴在塞子上也没着火,这是为啥?
有机
300
6
用活化后的分子筛给丙酮除水
jianjian0629
丙酮发黄,是什么原因呢,丙酮作为反应溶剂,还可以用吗?
有机
200
4
重氮化反应问题求助
飘洋过海lly
想做重氮化反应,先用用Hcl溶解对甲苯胺,再加NaNO2,得到的是透明澄清的重氮盐,再加到用乙酸溶解的3-二乙氨基酚中,反应几小时后,用naoH调节Ph,过滤,重结晶,结...
有机
150
3
KHMDS与卤代烃的反应
qwegsj
如图,与氯相连的碳不是显负价吗?怎么与KHMDS反应?与溴相连的碳是正价,不是更容易反应吗?请指教,谢谢。
有机
250
5
钯催化剂如何回收
lsk0119
四三苯基膦钯、氯化钯、dppf氯化钯等钯催化剂,催化反应后如何回收出来?
有机
150
3
哪里可以买到这个分子啊~~~请大家支个招@##@
zbahut1992
各位虫友,大家好!现在我想买下面这个分子(乙酰胺苯砜,英文名称:N-[4-(4-acetamidophenyl)sulfonylphenyl]acetamide,CAS:...
有机
400
8
【求助】圆底烧瓶的完全脱气处理怎么弄?
SLDBKW
反应需要密闭条件下,135℃加热反应72h。之前做了一次实验,才加热了半个小时,烧瓶里压强太高了,瓶塞都被冲飞了。
有机
350
7
30901
1 ...
‹‹
51
52
53
54
55
56
››
... 1031
板块导航
网络生活
育儿交流
健康生活
有奖问答
资源共享
课件资源
试题资源
化学化工
有机
高分子
无机物化
分析
催化
工艺技术
化工设备
化工
精细化工
电化学
环境
专业学科
机械
物理
数学
农林
食品
地学
能源
信息科学
理工农林
科研生活
博后之家
专业外语
外语学习
导师招生
找工作
招聘信息
考研
考博
公务员
生物医药
新药研发
药学
药品生产
分子生物
微生物
动植物
生物科学
医学
材料
材料
材料工程
微米纳米
晶体
金属
非金属
生物材料
功能材料
复合材料
计算模拟
第一原理
量子化学
计算模拟
分子模拟
仿真模拟
程序语言
学术交流
论文投稿
基金申请
学术会议
出国留学
留学生活
公派出国
访问学者
海外博后
留学DIY
签证指南
出国考试
海外院所
注册执考
化工工程师
执业药师
执业医师
环境工程师
会计师
注册考试
24小时热帖
换一批
2026博士申请求助
10
评审感受-评审感受-评审感受
12
西南大学考核制博士
6
窗边初夏的小雨
10
护理论文 晋升
4
应助之星
xtlilibin
+关注
nBu锂
+关注
北京莱茵编辑
+关注
czyzsu
+关注
下载小木虫APP
与700万科研达人随时交流
二维码
IOS
安卓
欢迎监督和反馈
:小木虫仅提供交流平台,不对该内容负责。
欢迎协助我们监督管理,共同维护互联网健康,违规贴举报删除请联系邮箱:xiaomuchong@tal.com
(点此查看侵权举报方式)
我们保证在7个工作日内给予处理和答复,谢谢您的监督。
©2001-2026 muchong.com,小木虫
京ICP备16008351号
京公网安备 11010802022153号
Copyright © 2001-2026 muchong.com, All Rights Reserved. 小木虫 版权所有