| 查看: 2225 | 回复: 0 | |||
[交流]
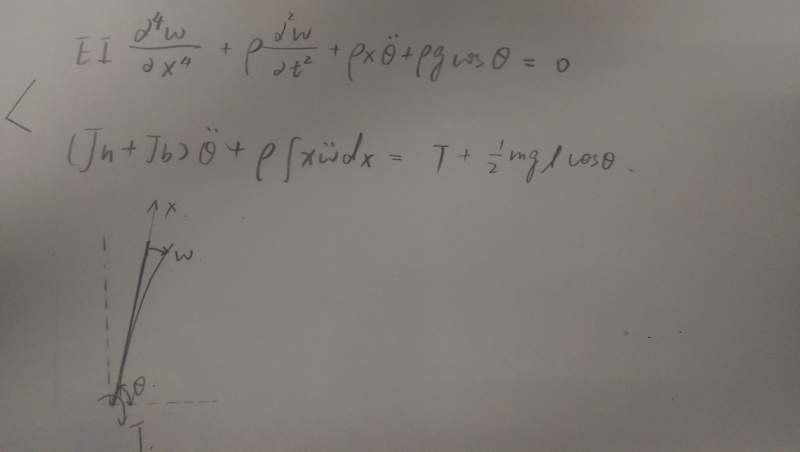
请问这个四阶常系数偏微分方程有解析解吗?
|
|
小弟最近弄了一个倒立摆的模型,但是底部是铰接的,通过扭矩T来进行控制。 *方程在附件中* 其中,x与t为自变量,w与theta为因变量,初始条件全部已知,其他全部为已知参数。 请问这种方程有解析解吗?如果有的话应该怎么求呢? IMAG0284.jpg |
» 猜你喜欢
参与限项
已经有3人回复
假如你的研究生提出不合理要求
已经有7人回复
实验室接单子
已经有4人回复
全日制(定向)博士
已经有4人回复
对氯苯硼酸纯化
已经有3人回复
求助:我三月中下旬出站,青基依托单位怎么办?
已经有12人回复
不自信的我
已经有12人回复
所感
已经有4人回复
要不要辞职读博?
已经有7人回复
北核录用
已经有3人回复
找到一些相关的精华帖子,希望有用哦~
偏微分方程的求解
已经有6人回复
非线性偏微分方程数值解
已经有9人回复
偏微分方程定常与全微分方程的关系
已经有3人回复
这个常微分方程组如何解??
已经有9人回复
二阶非线性偏微分方程如何解?
已经有4人回复
关于二阶偏微分方程求解
已经有21人回复
寻求伙伴一起自学偏微分方程
已经有27人回复
请问这个偏微分方程组有一般的解法么?
已经有12人回复
非线性二阶微分方程组求解,matlab
已经有12人回复
常微分方程解法汇总
已经有41人回复
求助非线性常微分方程和常系数双曲偏微分方程求解
已经有7人回复
常微分方程解析解
已经有5人回复
哪位高手知道这个方程的解析解?简单的偏微分方程
已经有7人回复
2阶偏微分方程的解法
已经有11人回复
求三阶常系数偏微分方程的解析解公式,急
已经有8人回复
非线性二阶常微分方程组+第三类边界条件
已经有17人回复
mathematica解方程组为什么解不出来具体的数值?
已经有4人回复
抛物型偏微分方程的数值解求解问题,谢谢!
已经有14人回复
一阶微分方程的解析解(伯努利方程带常数项)
已经有12人回复
二阶非线性微分方程求解
已经有14人回复
请问这个4阶的非线性偏微分方程组在PDE中怎么解?等待高手解答。
已经有17人回复
求助一阶非线性微分方程的解
已经有7人回复
这样一个偏微分方程有没有解析解?
已经有4人回复
关于微分方程,请问什么叫自治系统?什么叫非自治系统?二者是怎么定义的??
已经有15人回复
【求助】急请微分方程高手看下这个方程组!
已经有14人回复
科研从小木虫开始,人人为我,我为人人












回复此楼
点击这里搜索更多相关资源