| ²é¿´: 2154 | »Ø¸´: 7 | |||
СѧÄÐÉú½ð³æ (СÓÐÃûÆø)
|
[ÇóÖú]
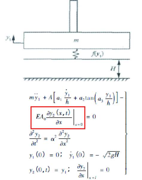
ÇóÖú·ÇÏßÐÔ³£Î¢·Ö·½³ÌºÍ³£ÏµÊýË«Çúƫ΢·Ö·½³ÌÇó½â ÒÑÓÐ2È˲ÎÓë
|
| ÈçÌâÇóÈÏʶ»úе¶¯Á¦Ñ§ÁìÓò»á·ÇÏßÐÔ³£Î¢·Ö·½³ÌºÍ³£ÏµÊýË«Çúƫ΢·Ö·½³ÌÇó½âµÄ³æÓÑ£¬Çó½âÖÐÒªÓÃMatlab£¡ |
» ²ÂÄãϲ»¶
£¨µ÷¼Á£©Ò»Ö¾Ô¸±¨¿¼¹þ¶û±õ¹¤Òµ´óѧ0857×ÊÔ´Óë»·¾³×¨Òµ378·Ö¿¼Éú
ÒѾÓÐ4È˻ظ´
085602µ÷¼Á ³õÊÔ×Ü·Ö335
ÒѾÓÐ8È˻ظ´
²ÄÁÏÇóµ÷¼Á
ÒѾÓÐ8È˻ظ´
Çóµ÷¼Á
ÒѾÓÐ7È˻ظ´
277Çóµ÷¼Á
ÒѾÓÐ6È˻ظ´
Çóµ÷¼Á
ÒѾÓÐ5È˻ظ´
Ò»Ö¾Ô¸ ½ÄÏ´óѧ 085602 »¯¹¤×¨Ë¶ 338·ÖÇóµ÷¼Á
ÒѾÓÐ10È˻ظ´
283Çóµ÷¼Á
ÒѾÓÐ6È˻ظ´
Ò»Ö¾Ô¸Ö£ÖÝ´óѧ085600Çóµ÷¼Á
ÒѾÓÐ8È˻ظ´
285Çóµ÷¼Á
ÒѾÓÐ5È˻ظ´
» ±¾Ö÷ÌâÏà¹Ø¼ÛÖµÌùÍÆ¼ö£¬¶ÔÄúͬÑùÓаïÖú:
Çó΢·Ö·½³Ì ×î´óÖµÎÊÌâ
ÒѾÓÐ4È˻ظ´
ÈçºÎÓÃMATLABÇó½âÂö³å΢·Ö·½³Ì²¢»Í¼
ÒѾÓÐ5È˻ظ´
freundich·½³ÌϵÊýµÄ·ÖÎöÎÊÌâ
ÒѾÓÐ8È˻ظ´
mathematica½â·½³Ì×éΪʲô½â²»³öÀ´¾ßÌåµÄÊýÖµ£¿
ÒѾÓÐ4È˻ظ´
ÈçºÎÓÃMatlabÇóʱ±ä΢·Ö·½³ÌµÄ½â£¿
ÒѾÓÐ5È˻ظ´
ÓÃmatlabÇó½â¾ØÕó·½³Ì
ÒѾÓÐ5È˻ظ´
Çó×飡Çó½âÒ»¸ö΢·Ö·½³Ì×éµÄ·ûºÅ½â£¬²¢»³öͼÏñ£¡£¡£¡
ÒѾÓÐ7È˻ظ´
¶þ½×³£Î¢·Ö·½³ÌÇó½â
ÒѾÓÐ5È˻ظ´
ÇóÖú£ºÏëÇë½Ì´ó¼ÒÕâ¸ö·½³ÌÔõô½â£¬Í¨½âÊÇʲô£¿
ÒѾÓÐ14È˻ظ´
Å×ÎïÐÍÆ«Î¢·Ö·½³ÌµÄÊýÖµ½âÇó½âÎÊÌ⣬лл£¡
ÒѾÓÐ14È˻ظ´
¶þ½×·ÇÏßÐÔ΢·Ö·½³ÌÇó½â
ÒѾÓÐ14È˻ظ´
ÈçºÎÓÃmatlabÇó½â¾ØÕóϵÊýµÄ¶þ½×΢·Ö·½³Ì
ÒѾÓÐ13È˻ظ´
[ÇóÖú] ÄâÎÈ̬µç´Å³¡ÊDz»ÊDz¨µÄÐÎʽ£¿
ÒѾÓÐ4È˻ظ´
Êýѧ¶þ¿¼²»¿¼È«Î¢·Ö·½³Ì£¬¼±¼±¼±
ÒѾÓÐ13È˻ظ´
ÇóÖú¡ª¡ªÇó½â³£ÏµÊý¶þ´Î΢·Ö·½³Ì
ÒѾÓÐ6È˻ظ´
ÇëÎÊÈçºÎÇó½â¶þÔªÒ»½×΢·Ö·½³Ì×é
ÒѾÓÐ24È˻ظ´
ÈçºÎÀí½â±äϵÊý΢·Ö·½³Ì
ÒѾÓÐ6È˻ظ´
¡¾ÇóÖú¡¿ÈçºÎ½â³£Î¢·Ö·½³Ì
ÒѾÓÐ3È˻ظ´
¡¾ÇóÖú¡¿³£Î¢·Ö·½³Ì×éµÄ½âÎö½â
ÒѾÓÐ3È˻ظ´
¡¾ÇóÖú¡¿Ò»¸ö³£Î¢·Ö·½³ÌµÄͨ½â
ÒѾÓÐ6È˻ظ´
Êýѧ¸ßÊÖÇë½ø£¬ÈçºÎÇó½â´ø°×ÔëÉùµÄ΢·Ö·½³Ì
ÒѾÓÐ8È˻ظ´
¡¾ÇóÖú¡¿ÈçºÎÓÃRunge-Kuttaµü´úÇó½â¶þ½×³£Î¢·Ö·½³Ì×顾Òѽâ¾ö¡¿
ÒѾÓÐ9È˻ظ´
feixiaolin
ÈÙÓþ°æÖ÷ (ÎÄ̳¾«Ó¢)
-

ר¼Ò¾Ñé: +518 - Ó¦Öú: 942 (²©ºó)
- ¹ó±ö: 1.275
- ½ð±Ò: 3880
- É¢½ð: 58785
- ºì»¨: 532
- ɳ·¢: 11
- Ìû×Ó: 24215
- ÔÚÏß: 2601.8Сʱ
- ³æºÅ: 2139575
- ×¢²á: 2012-11-21
- רҵ: ¹âѧÐÅÏ¢»ñÈ¡Óë´¦Àí
- ¹ÜϽ: Êýѧ
2Â¥2013-12-26 17:13:52
¸Ðл²ÎÓ룬ӦÖúÖ¸Êý +1
|
±¾ÌûÄÚÈݱ»ÆÁ±Î |
3Â¥2013-12-27 00:47:24
СѧÄÐÉú
½ð³æ (СÓÐÃûÆø)
- Ó¦Öú: 2 (Ó×¶ùÔ°)
- ½ð±Ò: 2133.5
- Ìû×Ó: 123
- ÔÚÏß: 61.9Сʱ
- ³æºÅ: 1339986
- ×¢²á: 2011-07-07
- רҵ: »úе¶¯Á¦Ñ§
4Â¥2013-12-27 10:04:58
¡ï ¡ï ¡ï
СѧÄÐÉú: ½ð±Ò+3, ¡ïÓаïÖú 2014-01-06 21:42:10
СѧÄÐÉú: ½ð±Ò+3, ¡ïÓаïÖú 2014-01-06 21:42:10
|
±¾ÌûÄÚÈݱ»ÆÁ±Î |
5Â¥2013-12-27 13:35:19
СѧÄÐÉú
½ð³æ (СÓÐÃûÆø)
- Ó¦Öú: 2 (Ó×¶ùÔ°)
- ½ð±Ò: 2133.5
- Ìû×Ó: 123
- ÔÚÏß: 61.9Сʱ
- ³æºÅ: 1339986
- ×¢²á: 2011-07-07
- רҵ: »úе¶¯Á¦Ñ§
6Â¥2013-12-27 22:12:16
dacoolee
Òø³æ (СÓÐÃûÆø)
- Ó¦Öú: 1 (Ó×¶ùÔ°)
- ½ð±Ò: 721.5
- Ìû×Ó: 69
- ÔÚÏß: 90.6Сʱ
- ³æºÅ: 1608312
- ×¢²á: 2012-02-09
- ÐÔ±ð: GG
- רҵ: ÊýÂÛ

7Â¥2013-12-28 19:49:46
СѧÄÐÉú
½ð³æ (СÓÐÃûÆø)
- Ó¦Öú: 2 (Ó×¶ùÔ°)
- ½ð±Ò: 2133.5
- Ìû×Ó: 123
- ÔÚÏß: 61.9Сʱ
- ³æºÅ: 1339986
- ×¢²á: 2011-07-07
- רҵ: »úе¶¯Á¦Ñ§
8Â¥2014-01-06 21:43:09














»Ø¸´´ËÂ¥