| 查看: 2335 | 回复: 7 | ||
[求助]
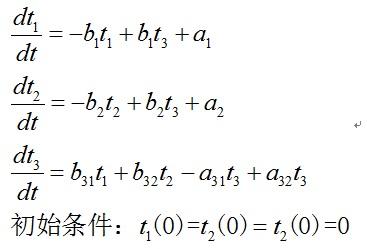
求组!求解一个微分方程组的符号解,并画出图像!!!
|
||
|
|
||
|
2楼2013-03-10 16:02:22
|
|
|
Narsummer木虫 (正式写手)
|
||
![]() |
||
|
3楼2013-03-10 18:03:27
|
|
|
Narsummer木虫 (正式写手)
|
||
![]() |
||
|
4楼2013-03-10 18:06:13
|
|
|
|
5楼2013-03-10 19:49:31
|
|
|
|
||
|
6楼2013-03-10 19:52:29
|
|
|
eezyzyzzzee木虫 (著名写手)
|
||
|
7楼2013-03-11 18:42:45
|
|
|
xylecust木虫 (小有名气)
|
||
|
8楼2013-03-12 12:40:46
|
|














回复此楼
