| ²é¿´: 4346 | »Ø¸´: 10 | ||
duanludyľ³æ (ÕýʽдÊÖ)
skyly
|
[ÇóÖú]
MatlabÇó½â¶þ½×ƫ΢·Ö·½³Ì×飬ϣÍûÄܸø³öÏàÓ¦µÄÇó½â´úÂë
|
|
|
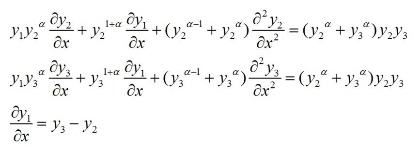
лл´óÏÀÖ¸µ¼£¡ ·½³Ì×éÈçͼËùʾ£¬ÆäÖÐy1,y2,y3¶¼ÊÇxµÄº¯Êý£¬aΪ³£Êý£¬±ß½çÌõ¼þ£ºy2(0)=y3(50)=0, 0 equ1.jpg |
» ²ÂÄãϲ»¶
Çóµ÷¼Á
ÒѾÓÐ23È˻ظ´
301Çóµ÷¼Á
ÒѾÓÐ15È˻ظ´
304Çóµ÷¼Á£¨085602£¬¹ýËļ¶£¬Ò»Ö¾Ô¸985£©
ÒѾÓÐ17È˻ظ´
302·ÖÇóµ÷¼Á Ò»Ö¾Ô¸°²»Õ´óѧ085601
ÒѾÓÐ12È˻ظ´
288»·¾³×¨Ë¶,Çóµ÷²ÄÁÏ·½Ïò
ÒѾÓÐ23È˻ظ´
»·¾³×¨Ë¶µ÷¼Á
ÒѾÓÐ6È˻ظ´
22408 µ÷¼Á²ÄÁÏ
ÒѾÓÐ6È˻ظ´
285Çóµ÷¼Á
ÒѾÓÐ12È˻ظ´
Çóµ÷¼Á
ÒѾÓÐ6È˻ظ´
085600²ÄÁÏÓ뻯¹¤301·ÖÇóµ÷¼ÁԺУ
ÒѾÓÐ19È˻ظ´
» ±¾Ö÷ÌâÏà¹Ø¼ÛÖµÌùÍÆ¼ö£¬¶ÔÄúͬÑùÓаïÖú:
ÈçºÎÓÃmatlabÇó½â¾ØÕóϵÊýµÄ¶þ½×΢·Ö·½³Ì
ÒѾÓÐ13È˻ظ´
ÓÐÏÞ²î·ÖÀëÉ¢¶þ½×ƫ΢·Ö·½³ÌºóÈçºÎ±àÒëmatlab³ÌÐò½â·½³Ì×飿
ÒѾÓÐ3È˻ظ´
matlabÇó½âƫ΢·Ö·½³Ì×é
ÒѾÓÐ3È˻ظ´
Çë½ÌÓÃmatlabÇó½âÒ»¸ö·ÇÏßÐÔÆ«Î¢·Ö·½³Ì×éµÄÊýÖµ½â
ÒѾÓÐ8È˻ظ´
matlab¶þ½×΢·Ö·½³ÌÇó½â³ÌÐò
ÒѾÓÐ5È˻ظ´
matlabÓÐÏÞ²î·Ö·¨Çó½â¸´Ôӵį«Î¢·Ö·½³Ì×é
ÒѾÓÐ19È˻ظ´
matlab΢·Ö·½³Ì×é²ÎÊýÄâºÏ£¬ÒÔÖÜΪµ¥Î»Çó½â£¬»ã×ܺóÒÔÄêΪµ¥Î»½øÐÐÊýÖµ±È½Ï
ÒѾÓÐ4È˻ظ´
MatlabÇó½âƫ΢·Ö·½³Ì×é
ÒѾÓÐ22È˻ظ´
ÇëÎÊÈçºÎÇó½â¶þÔªÒ»½×΢·Ö·½³Ì×é
ÒѾÓÐ24È˻ظ´
matlabÊýÖµÇó½â±ß½çÌõ¼þ΢·Ö·½³Ì×é
ÒѾÓÐ7È˻ظ´
¸ß½ðÇóÖúmatlab½â΢·Ö·½³Ì×é
ÒѾÓÐ12È˻ظ´
matlab½â΢·Ö·½³Ì×é
ÒѾÓÐ15È˻ظ´
Ò»¸öƫ΢·Ö·½³Ì×飨°üÀ¨±ß½çÌõ¼þ£©ÈçºÎÇó½âµÃµ½×ÔÕñƵÂʺÍÕñÐÍ£¿
ÒѾÓÐ4È˻ظ´
LABVIEWËĽ×Áú¸ñ¿âËþ·¨Çó½âÒ»½×΢·Ö·½³Ì×é
ÒѾÓÐ12È˻ظ´
¡¾ÇóÖú¡¿Ïò¸÷λ´óÏÀÇóÖúmatlabÇó½â΢·Ö·½³Ì×éÓöµ½µÄÒ»¸öÎÊÌâ
ÒѾÓÐ21È˻ظ´
¡¾ÇóÖú¡¿MATLAB ÓÐÏÞ²î·Ö·¨£¨FDM£©Çó½âƫ΢·Ö·½³Ì
ÒѾÓÐ22È˻ظ´
Ò»¸öƫ΢·Ö·½³Ì×éµÄÇó½â
ÒѾÓÐ7È˻ظ´
¡¾ÇóÖú¡¿matlabÔõôÇó½âƫ΢·Ö·½³Ì×é°¡£¬ÏÈллÁË
ÒѾÓÐ13È˻ظ´
¡¾ÇóÖú¡¿ÓÐÏÞÔª·¨Çó½â¶þ½×ƫ΢·Ö·½³Ì×é
ÒѾÓÐ6È˻ظ´
¡¾ÇóÖú¡¿ÈçºÎÓÃRunge-Kuttaµü´úÇó½â¶þ½×³£Î¢·Ö·½³Ì×顾Òѽâ¾ö¡¿
ÒѾÓÐ9È˻ظ´

aaddaaadda
ľ³æ (ÕýʽдÊÖ)
- Ó¦Öú: 0 (Ó×¶ùÔ°)
- ½ð±Ò: 1765.7
- É¢½ð: 558
- ºì»¨: 10
- Ìû×Ó: 936
- ÔÚÏß: 134.9Сʱ
- ³æºÅ: 2298449
- ×¢²á: 2013-02-25
- רҵ: ¹ÌÌåÁ¦Ñ§
¡¾´ð°¸¡¿Ó¦Öú»ØÌû
¡ï ¡ï ¡ï ¡ï ¡ï ¡ï ¡ï ¡ï
xiegangmai: ½ð±Ò+3, ¹ÄÀøÌÖÂÛ½»Á÷£¡ 2013-04-09 23:47:23
duanludy: ½ð±Ò+5, ¡ïÓаïÖú 2013-04-10 08:34:41
xiegangmai: ½ð±Ò+3, ¹ÄÀøÌÖÂÛ½»Á÷£¡ 2013-04-09 23:47:23
duanludy: ½ð±Ò+5, ¡ïÓаïÖú 2013-04-10 08:34:41
| ÎÒ½¨ÒélzÊÔÒ»ÏÂmatlabµÄbvp4cÖ¸ÁÕë¶Ô¶þ½×ƫ΢·Ö·½³Ì±ßÖµÎÊÌâµÄÇó½â£¬Ïà±ÈÓÚ´ò°Ð·¨Òª¼òµ¥µÃ¶à£»¶øÇÒlzÕâ¸öÎÊÌâÓ¦¸ÃÄÜ×ö£¬¾ÍÊÇ×Ô¼ºÒª¶¯ÊÖÀëɢһϷ½³Ì£¬Èç3lËù˵£¬½µ¶þ½×Ϊһ½×£¬¾ßÌåÇë²Î¿¼matlab£¬help bvp4c¡£ |

6Â¥2013-04-09 19:20:38
¡ï
xiegangmai: ½ð±Ò-1, רҵ°æ¿é½»Á÷Ìù£¬ÇëÎð¹àË® 2012-12-24 18:05:44
xiegangmai: ½ð±Ò-1, רҵ°æ¿é½»Á÷Ìù£¬ÇëÎð¹àË® 2012-12-24 18:05:44
|
2Â¥2012-12-24 17:03:00
ÖèÓê
Òø³æ (ÕýʽдÊÖ)
- Ó¦Öú: 0 (Ó×¶ùÔ°)
- ½ð±Ò: 4526.9
- É¢½ð: 602
- Ìû×Ó: 546
- ÔÚÏß: 314.5Сʱ
- ³æºÅ: 1681080
- ×¢²á: 2012-03-10
- רҵ: ºÓÁ÷º£°¶¶¯Á¦Ñ§ÓëÄàɳÑо¿
3Â¥2012-12-24 22:54:55
cgjsccgj
½ð³æ (ÖøÃûдÊÖ)
- Ó¦Öú: 4 (Ó×¶ùÔ°)
- ½ð±Ò: 997.3
- É¢½ð: 1577
- ºì»¨: 3
- Ìû×Ó: 2075
- ÔÚÏß: 263.3Сʱ
- ³æºÅ: 293608
- ×¢²á: 2006-11-05
- ÐÔ±ð: GG
- רҵ: ½¨ÖþÎïÀí

4Â¥2013-01-05 10:49:13
chcomputing
ͳæ (СÓÐÃûÆø)
- Ó¦Öú: 6 (Ó×¶ùÔ°)
- ½ð±Ò: 33
- É¢½ð: 14
- ºì»¨: 2
- Ìû×Ó: 121
- ÔÚÏß: 46.6Сʱ
- ³æºÅ: 2211528
- ×¢²á: 2012-12-28
- רҵ: ¸ÖÌúÒ±½ð
5Â¥2013-01-05 14:10:46
kkxkd
гæ (³õÈëÎÄ̳)
- Ó¦Öú: 0 (Ó×¶ùÔ°)
- ½ð±Ò: 160
- Ìû×Ó: 36
- ÔÚÏß: 18.5Сʱ
- ³æºÅ: 1671594
- ×¢²á: 2012-03-07
- רҵ: ʳƷ¼Ó¹¤¼¼Êõ
7Â¥2013-05-08 16:41:35
éÈÏ«Ïô
гæ (³õÈëÎÄ̳)
- Ó¦Öú: 0 (Ó×¶ùÔ°)
- ½ð±Ò: 33.5
- Ìû×Ó: 2
- ÔÚÏß: 1.9Сʱ
- ³æºÅ: 3707163
- ×¢²á: 2015-03-03
- רҵ: ×ê¾®¹¤³ÌÓëµØÈÈ¿ª²É

8Â¥2015-05-20 09:27:42
fyxÇóѧ
Òø³æ (СÓÐÃûÆø)
- Ó¦Öú: 0 (Ó×¶ùÔ°)
- ½ð±Ò: 308.1
- É¢½ð: 21
- ºì»¨: 1
- Ìû×Ó: 122
- ÔÚÏß: 30.5Сʱ
- ³æºÅ: 3633755
- ×¢²á: 2015-01-08
- ÐÔ±ð: GG
- רҵ: ¶¯Á¦Ñ§Óë¿ØÖÆ

9Â¥2015-06-21 15:58:33
fyxÇóѧ
Òø³æ (СÓÐÃûÆø)
- Ó¦Öú: 0 (Ó×¶ùÔ°)
- ½ð±Ò: 308.1
- É¢½ð: 21
- ºì»¨: 1
- Ìû×Ó: 122
- ÔÚÏß: 30.5Сʱ
- ³æºÅ: 3633755
- ×¢²á: 2015-01-08
- ÐÔ±ð: GG
- רҵ: ¶¯Á¦Ñ§Óë¿ØÖÆ

10Â¥2015-06-21 15:58:58














»Ø¸´´ËÂ¥