| ²é¿´: 1726 | »Ø¸´: 3 | ||
huaswellľ³æ (СÓÐÃûÆø)
|
[ÇóÖú]
Ò»½×³£Î¢·Ö·½³Ì×飬matlab½øÐÐÊýÖµÇó½â
|
|
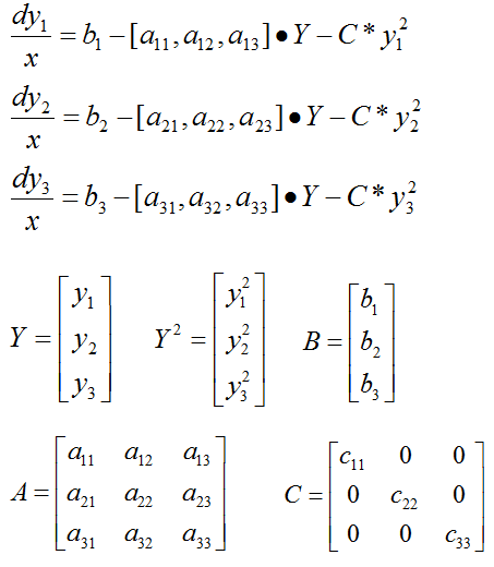
http://jj.muchong.com/image3/7d/c8/1499259_1353119755_932.png ¾ØÕóA¡¢B¡¢C ¾ùÒÑÖª Çóy1¡¢y2¡¢y3 ¹òÇó¸÷λ´óÉñ¸ø¸öÌáʾ ode.png |
» ²ÂÄãϲ»¶
293µ÷¼Á
ÒѾÓÐ3È˻ظ´
»úе¹¤³Ì264ѧ˶Çóµ÷¼Á
ÒѾÓÐ3È˻ظ´
264Çóµ÷¼Á
ÒѾÓÐ9È˻ظ´
Çóµ÷¼Á
ÒѾÓÐ6È˻ظ´
22408 266Çóµ÷¼Á
ÒѾÓÐ7È˻ظ´
Çóµ÷¼Á
ÒѾÓÐ14È˻ظ´
273Çóµ÷¼Á
ÒѾÓÐ43È˻ظ´
307Çóµ÷¼Á
ÒѾÓÐ13È˻ظ´
327Çóµ÷¼Á
ÒѾÓÐ7È˻ظ´
338Çóµ÷¼Á
ÒѾÓÐ6È˻ظ´
» ±¾Ö÷ÌâÏà¹Ø¼ÛÖµÌùÍÆ¼ö£¬¶ÔÄúͬÑùÓаïÖú:
MATLABÇó½â¶þ½×³£Î¢·Ö·½³Ì×é³ö´í
ÒѾÓÐ7È˻ظ´
×¢²á»¯¹¤¹¤³ÌʦÐëÖª
ÒѾÓÐ23È˻ظ´
³£Î¢·Ö·½³Ì(×é)ÊýÖµ½â¡ª¡ªRunge_Kutta·½·¨(ת)
ÒѾÓÐ0È˻ظ´
¡¾×ÊÔ´¡¿Runge-Kutta½âODEµÄһЩ³ÌÐò¼°Ó¦Óã¨from MathWorks£©
ÒѾÓÐ3È˻ظ´
edisondanny
½ð³æ (СÓÐÃûÆø)
- Ó¦Öú: 1 (Ó×¶ùÔ°)
- ½ð±Ò: 617.4
- É¢½ð: 44
- ºì»¨: 2
- Ìû×Ó: 274
- ÔÚÏß: 44.2Сʱ
- ³æºÅ: 1103050
- ×¢²á: 2010-09-19
- ÐÔ±ð: GG
- רҵ: Á¦Ñ§
2Â¥2012-11-17 15:42:47
qy6512
½ð³æ (СÓÐÃûÆø)
- Ó¦Öú: 8 (Ó×¶ùÔ°)
- ½ð±Ò: 1132.2
- É¢½ð: 60
- ºì»¨: 1
- Ìû×Ó: 228
- ÔÚÏß: 73.8Сʱ
- ³æºÅ: 1357420
- ×¢²á: 2011-07-31
- ÐÔ±ð: GG
- רҵ: ¹âѧÐÅÏ¢»ñÈ¡Óë´¦Àí
3Â¥2012-12-18 10:57:13
apollosun9283
½ð³æ (СÓÐÃûÆø)
½£ÇŹ«¾ô
- Ó¦Öú: 0 (Ó×¶ùÔ°)
- ½ð±Ò: 831.8
- Ìû×Ó: 181
- ÔÚÏß: 104.7Сʱ
- ³æºÅ: 699792
- ×¢²á: 2009-02-11
- ÐÔ±ð: GG
- רҵ: »¯Ñ§·´Ó¦¹¤³Ì

4Â¥2012-12-23 15:12:50














»Ø¸´´ËÂ¥