| 查看: 3142 | 回复: 5 | ||
mathsxdg金虫 (正式写手)
|
[求助]
如何用MATLAB求解脉冲微分方程并画图
|
|
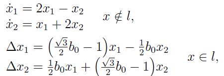
有以下脉冲微分方程,请高手赐教如何用Matlab求解并画图,多谢了!!! l: 其中,最后一个式子表示脉冲线l, b0 为一常数。 [ Last edited by mathsxdg on 2013-10-15 at 21:23 ] |
» 猜你喜欢
AI论文写作工具:是科研加速器还是学术作弊器?
已经有4人回复
寻求一种能扛住强氧化性腐蚀性的容器密封件
已经有7人回复
到新单位后,换了新的研究方向,没有团队,持续积累2区以上论文,能申请到面上吗
已经有8人回复
申请2026年博士
已经有6人回复
请问哪里可以有青B申请的本子可以借鉴一下。
已经有5人回复
天津工业大学郑柳春团队欢迎化学化工、高分子化学或有机合成方向的博士生和硕士生加入
已经有5人回复
2025冷门绝学什么时候出结果
已经有7人回复
请问有评职称,把科研教学业绩算分排序的高校吗
已经有6人回复
Bioresource Technology期刊,第一次返修的时候被退回好几次了
已经有7人回复
请问下大家为什么这个铃木偶联几乎不反应呢
已经有5人回复
» 本主题相关价值贴推荐,对您同样有帮助:
求助matlab求解三元超越方程
已经有4人回复
中心差分求解二维热传导的matlab程序
已经有12人回复
求助matlab画图,急急急
已经有11人回复
用matlab如何解方程?
已经有6人回复
MATLAB微分方程参数拟合问题,求大神
已经有7人回复
求Matlab高手解决线性方程组的迭代求解问题
已经有17人回复
请教mathematic问题?关于解微分方程组的和画图的一些问题。
已经有19人回复
如何用matlab求解矩阵系数的二阶微分方程
已经有13人回复
matlab求解非线性方程组,错误提示怎么解决
已经有5人回复
求助:如何用MATLAB的偏微分方程工具箱画出不同区域内的温度分布图?
已经有5人回复
matlab非线性方程组求解,急!!!
已经有5人回复
matlab有限差分法求解复杂的偏微分方程组
已经有19人回复
求助——求解常系数二次微分方程
已经有6人回复
matlab数值求解边界条件微分方程组
已经有7人回复
求matlab求解一个方程组的问题
已经有6人回复
MATLAB非线性方程组求解~~~反应釜模拟
已经有9人回复
【求助】向各位大侠求助matlab求解微分方程组遇到的一个问题
已经有21人回复
【求助】matlab求解非线性方程组,并画图处理。要求y,z是实数解!
已经有18人回复
【求助】matlab怎么求解偏微分方程组啊,先谢谢了
已经有13人回复
求助一个差分方程的MATLAB实现
已经有3人回复
【求助】先解常微分方程 然后画图【已完结】
已经有11人回复
【求助】利用matlab求解微分方程得出解函数中含0的意思
已经有3人回复

【答案】应助回帖
|
你这里 l 是一点吧,可以这样求: 编一个循环 每个循环长度为 l ,在其中求解ode45的方程,然后将解得最后一点作为下一个循环的初值。 即可。 程序: function draw() l=10; x10=1;x20=2;b0=0.2; for j=1:10 [t,x]=ode45(@test,[(j-1)*l,j*l],[x10,x20]); [mm,nn]=size(x); plot(t,x);hold on; x10=x(nn,1)+(sqrt(3)/2-1)*x(nn,1)-1/2*b0*x(nn,2); y10=x(nn,2)+1/2*b0*x(nn,1)+(sqrt(3)/2-1)*x(nn,2); x=[]; t=[]; end plot(t,x); function dydt = test(t,x) %%以下为参数,可修改。 b0=1; %%以上为参数,可修改。 x1=x(1);x2=x(2); dydt =[2*x1-x2 x1+2*x2]; |

2楼2013-10-26 08:21:08

3楼2013-10-26 08:22:26

4楼2013-10-26 08:24:06
mathsxdg
金虫 (正式写手)
- 应助: 5 (幼儿园)
- 金币: 1985.4
- 散金: 620
- 红花: 3
- 帖子: 328
- 在线: 177.4小时
- 虫号: 1383339
- 注册: 2011-08-29
- 性别: GG
- 专业: 人类遗传学

5楼2013-10-26 08:53:18
Master121
金虫 (小有名气)
开心就好!
- 应助: 4 (幼儿园)
- 金币: 1130.4
- 散金: 10
- 红花: 3
- 帖子: 126
- 在线: 25.7小时
- 虫号: 4793212
- 注册: 2016-06-23
- 性别: GG
- 专业: 常微分方程与动力系统
6楼2017-08-25 13:22:44













回复此楼
