| ²é¿´: 4545 | »Ø¸´: 18 | |||
gzqdyouxia½ð³æ (ÖøÃûдÊÖ)
|
[½»Á÷]
¡¾ÇóÖú¡¿matlabÇó½â·ÇÏßÐÔ·½³Ì×飬²¢»Í¼´¦Àí¡£ÒªÇóy,zÊÇʵÊý½â£¡
|
|
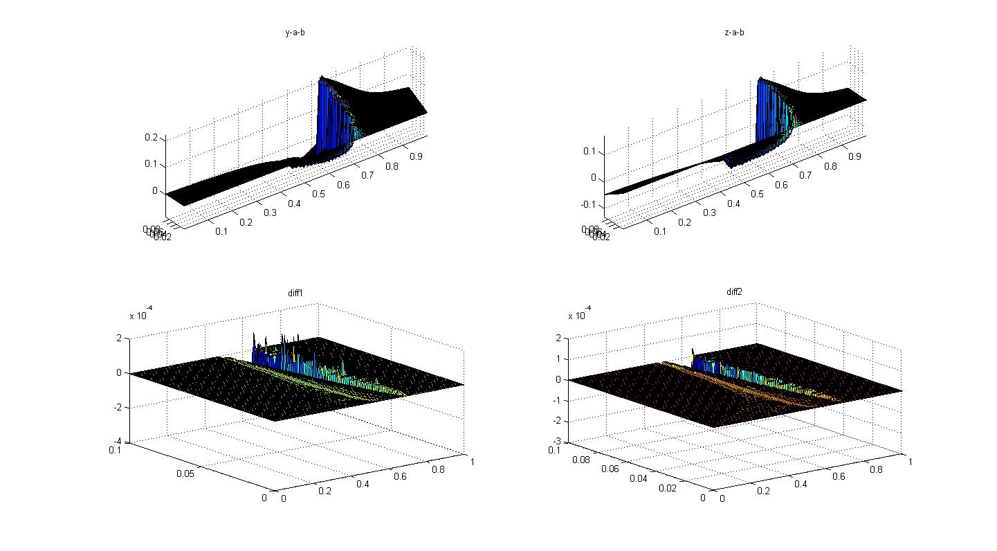
y=z+(7999022433351517/2305843009213693952*z+5509600814111415/72057594037927936*z^3)/(1-a)+1/2*b£» z=y+(-4534249478333089/576460752303423488*y-3611543935826555/576460752303423488*y^3+17523/50000*y^5)/a-1/2*b ×¢£ºy£¬zÊÇÒò±äÁ¿£¬a£¬bÊÇ×Ô±äÁ¿£¬ÆäÖÐaµÄ±ä»¯·¶Î§ÊÇ£¨0,1£©£¬bµÄ±ä»¯·¶Î§ÊÇ£¨0,0.1£©¡£ÒªÇó·Ö±ð»³öÒÔa£¬bΪ×Ô±äÁ¿Öᣬy£¬zΪÒò±äÁ¿ÖáµÄÈýάͼ£¨¼´y-a-b£¬z-a-b£©¡£Ð¡³æ»¹ÓÐÒ»¸öÎÊÌâ¾ÍÊÇÈÃbΪ¹Ì¶¨Öµ£¬Èçb=0.01£¬Ôõô»³öy-a£¬z-a£¨ÆäÖÐaµÄ±ä»¯·¶Î§ÊÇ£¨0,1£©£©µÄ¶þάͼ£¿ [ Last edited by gzqdyouxia on 2010-12-27 at 19:37 ] |
» ²ÂÄãϲ»¶
²ÄÁÏר˶322
ÒѾÓÐ7È˻ظ´
Çóµ÷¼Á
ÒѾÓÐ20È˻ظ´
Ò»Ö¾Ô¸Ö£ÖÝ´óѧ085600Çóµ÷¼Á
ÒѾÓÐ20È˻ظ´
»¯Ñ§µ÷¼Á
ÒѾÓÐ17È˻ظ´
3-äåßÁà¤-4-¼×È©ºÏ³É
ÒѾÓÐ9È˻ظ´
Ò»Ö¾Ô¸ÄϾ©º½¿Õº½Ìì´óѧ ²ÄÁÏÓ뻯¹¤329·ÖÇóµ÷¼Á
ÒѾÓÐ3È˻ظ´
285Çóµ÷¼Á
ÒѾÓÐ9È˻ظ´
²ÄÁÏÇóµ÷¼Á
ÒѾÓÐ11È˻ظ´
µ÷¼Á
ÒѾÓÐ8È˻ظ´
²ÄÁϵ÷¼Á
ÒѾÓÐ14È˻ظ´
» ±¾Ö÷ÌâÏà¹Ø¼ÛÖµÌùÍÆ¼ö£¬¶ÔÄúͬÑùÓаïÖú:
MATLABÓÃÓÚÈýÔª»Ø¹é²ÎÊý
ÒѾÓÐ3È˻ظ´
ÓÐûÓÐʲô°ì·¨ÄÜ¿ØÖÆudsÇó½âµÄ±êÁ¿ÔÚÕû¸öÇó½âÓòÉϵķ¶Î§°¡
ÒѾÓÐ6È˻ظ´
¸ß˹09w×ö¹ý¶É½ðÊôÄ£Ä⣬Çë½Ì³öÏÖµÄL103´íÎóÈçºÎ½â¾ö£¬¶ÏµçÖжϺóÕâÑù´¦Àí¶Ô²»¶Ô
ÒѾÓÐ3È˻ظ´
matlabÖжþάͼ×÷ͼ
ÒѾÓÐ8È˻ظ´
¹ØÓÚÎÛË®´¦ÀíµÄÎÊÌâ
ÒѾÓÐ32È˻ظ´
ÈçºÎʹÓÃmatlabÇó½â·ÇÏßÐÔ·½³Ì×éµÄËùÓÐÕûÊý½â£¿
ÒѾÓÐ9È˻ظ´
MatlabÇó½âƫ΢·Ö·½³Ì×é
ÒѾÓÐ22È˻ظ´
matlabÇó½â·ÇÏßÐÔ·½³Ì×é
ÒѾÓÐ16È˻ظ´
matlabÊýÖµÇó½â±ß½çÌõ¼þ΢·Ö·½³Ì×é
ÒѾÓÐ7È˻ظ´
ÇómatlabÇó½âÒ»¸ö·½³Ì×éµÄÎÊÌâ
ÒѾÓÐ6È˻ظ´
Çó¸ßÈËÖ¸µãÓÃmatlabÇó½â·ÇÏßÐÔ·½³Ì×飬½â¾öÁË×·¼Ó100½ð±Ò£»
ÒѾÓÐ11È˻ظ´
matlabµÄfsove ÃüÁîÇó½â·ÇÏßÐÔ·½³Ì×é
ÒѾÓÐ6È˻ظ´
¡¾ÇóÖú¡¿Ïò¸÷λ´óÏÀÇóÖúmatlabÇó½â΢·Ö·½³Ì×éÓöµ½µÄÒ»¸öÎÊÌâ
ÒѾÓÐ21È˻ظ´
¡¾ÇóÖú¡¿matlabÔõôÇó½âƫ΢·Ö·½³Ì×é°¡£¬ÏÈллÁË
ÒѾÓÐ13È˻ظ´
¡¾ÇóÖú¡¿Çë½Ì³æÓѹØÓÚmatlab²î·Ö·½³ÌµÄÇó½âºÍ»Í¼³ÌÐò
ÒѾÓÐ4È˻ظ´
¡¾ÇóÖú¡¿Çó½Ìmatlab½â·ÇÏßÐÔ·½³Ì×é
ÒѾÓÐ9È˻ظ´
» ÇÀ½ð±ÒÀ²£¡»ØÌû¾Í¿ÉÒԵõ½:
Î÷°²Àí¹¤´óѧũҵµçÆø»¯Óë×Ô¶¯»¯Ñ§Ë¶ÕÐÉú
+5/455
ºÓ±±´óѧ·ÖÎö»¯Ñ§ÕÐÊÕ¶àÃûµ÷¼Á¿¼Éú
+2/124
¹ã¶«¹¤Òµ´óѧ-ľÖÊÏËÎ¬ËØ¸ßÖµ»¯ÀûÓÃÍŶÓÕв©Ê¿Ñо¿Éú
+1/86
¸÷λÀÏʦ£ºÉ½¶«¿Æ¼¼´óѧ»¯Ñ§ÓëÉúÎ﹤³ÌѧԺ2026Äê˶ʿÑо¿Éúµ÷¼Á¹«¸æ
+1/85
Çൺ¿Æ¼¼´óѧµ÷¼ÁÕÐÉú
+1/55
½Î÷Àí¹¤´óѧ¸ÓÄÏʵÑéÊÒÀµ³¯±ò½ÌÊÚÍŶÓÕÐÊÕµ÷¼Á˶ʿÑо¿Éú
+1/38
¹þ¶û±õ¹¤Òµ´óѧÉîÛÚ ½ðÊôÔö²ÄÖÆÔì·½Ïò²©Ê¿ÕÐÉú
+1/28
ÕÐÊÕ2026¼¶¹«¹²ÎÀÉúÓëÔ¤·Àҽѧרҵ£¨Ñ§Ë¶£©µ÷¼ÁÉú1Ãû
+1/12
³¤½Ê¦·¶Ñ§Ôº»¯Ñ§»¯¹¤Ñ§Ôº»¯Ñ§¹¤³Ì·½Ïò½ÓÊÕ´óÁ¿µ÷¼Á¿¼Éú
+1/11
²³º£´óѧ´¢ÄܲÄÁÏ¿ÎÌâ×éÕÐÊÕµ÷¼ÁÑо¿Éú
+1/8
ÑĮ̀´óѧ¾«×¼²ÄÁϸߵÈÑо¿Ôº26Äê²ÄÁÏ·½ÏòÑо¿ÉúÕÐÉú
+1/5
¸£½¨Àí¹¤´óѧÕÐÊÕרҵ´úÂë08¿ªÍ·Ñ§ÊõÐÍ˶ʿÑо¿Éú
+1/5
Î人·ÄÖ¯´óѧ-¹ú¼Ò¹¤³ÌʵÑéÊÒÍõ½ð·ï½ÌÊÚ¿ÎÌâ×éÕÐÊÕÑо¿Éú£¬ÏßÉÏÃæÊÔÎÞ±ÊÊÔ
+1/5
³¤½Ê¦·¶Ñ§Ôº»¯Ñ§»¯¹¤Ñ§Ôº»¯Ñ§¹¤³Ì·½Ïò½ÓÊÕ´óÁ¿µ÷¼Á¿¼Éú
+1/5
´óÁ¬Àí¹¤´óѧ¼ÆËã»ú¿ÆÑ§Óë¼¼ÊõѧԺ/È˹¤ÖÇÄÜ·½Ïò2026ÄêÑÐÕе÷¼Á¹«¸æ
+1/4
ÕмÆËã»úµ÷¼Á
+1/4
Çൺ´óѧ»¯Ñ§¹¤³Ì£¨085602£©Ó뻯ѧ¹¤³ÌÓë¼¼Êõ£¨081700£©ÕÐÊÕ´óÁ¿µ÷¼Á
+1/3
Î人·ÄÖ¯´óѧȫ¹úÖØµãʵÑéÊÒÂÀÓÀ¸Ö½ÌÊÚ¿ÎÌâ×éÕÐÊÕ²ÄÁÏ¡¢»¯Ñ§¡¢ÉúÎïÏà¹Ø×¨ÒµË¶Ê¿Ñо¿Éú
+1/3
³ÏÑû¾ß±¸Êý¾Ý¿ÆÑ§¡¢¼ÆËã»ú¿ÆÑ§»ò»¯Ñ§µÈÏà¹ØÖªÊ¶µÄͬѧ¼ÓÈëÍŶÓ
+1/3
ÆëÆë¹þ¶û´óѧ»¯Ñ§Ó뻯ѧ¹¤³ÌѧԺÕÐÊÕר˶µ÷¼Á
+1/2
xiegangmai
°æÖ÷ (Ö°Òµ×÷¼Ò)
- ·ÂÕæEPI: 3
- Ó¦Öú: 157 (¸ßÖÐÉú)
- ¹ó±ö: 5.735
- ½ð±Ò: 40609
- Ìû×Ó: 4046
- ÔÚÏß: 1330.2Сʱ
- ³æºÅ: 653607
¡ï ¡ï ¡ï
gzqdyouxia(½ð±Ò+50):ÆÚ´ýÄú½øÒ»²½Ö¸½Ì 2010-12-28 00:21:14
robert2020(½ð±Ò+3):ÐÁ¿àÁË£¡ 2010-12-29 09:34:34
gzqdyouxia(½ð±Ò+50):ÆÚ´ýÄú½øÒ»²½Ö¸½Ì 2010-12-28 00:21:14
robert2020(½ð±Ò+3):ÐÁ¿àÁË£¡ 2010-12-29 09:34:34
|
a ºÍ b Ö®¼äÓÐʲô¹ØÏµÂ𣿠Èç¹û a ºÍ b Ò»Ò»¶ÔÓ¦£¬¿ÉÒÔÓÃfsolveÇó½â£¬´ó¸ÅÈçÏ£º º¯Êý£º Çó½â£º Òª»¶þάÇúÏߣ¬b Ϊ¹Ì¶¨Öµ£¬aÔÚÇø¼äµÝÔö£¬Çó½â·½³Ì£¬»Í¼¡£ Èç¹ûa ¡¢bûÓжÔÓ¦¹ØÏµ£¬Çó½â³öµÄÓ¦¸ÃÊÇÈýάµÄÇúÃæ£¬´ó¸ÅÈçÏ£º ÔÚoptionsÑ¡ÏîÖУ¬¿ÉÒÔÉèÖÃÇó½âËã·¨£¬¾ßÌå¿É²Î¿¼°ïÖúÖеÄfsolve£¬ÎÒÊÔÁËÊÔÓÃoptions=optimset('Display','off', 'ScaleProblem', 'Jacobian' );½á¹ûÂÔÓв»Í¬¡£ [ Last edited by xiegangmai on 2010-12-27 at 20:20 ] |
2Â¥2010-12-27 19:40:23
gzqdyouxia
½ð³æ (ÖøÃûдÊÖ)
- Ó¦Öú: 1 (Ó×¶ùÔ°)
- ¹ó±ö: 0.393
- ½ð±Ò: 928.9
- Ìû×Ó: 1600
- ÔÚÏß: 310.6Сʱ
- ³æºÅ: 802190
3Â¥2010-12-27 22:18:05
xiegangmai
°æÖ÷ (Ö°Òµ×÷¼Ò)
- ·ÂÕæEPI: 3
- Ó¦Öú: 157 (¸ßÖÐÉú)
- ¹ó±ö: 5.735
- ½ð±Ò: 40609
- Ìû×Ó: 4046
- ÔÚÏß: 1330.2Сʱ
- ³æºÅ: 653607
¡ï ¡ï
wuming524(½ð±Ò+2):лл½»Á÷£¬ÐÁ¿àÁË 2010-12-28 01:23:32
wuming524(½ð±Ò+2):лл½»Á÷£¬ÐÁ¿àÁË 2010-12-28 01:23:32
|
plot(a,y) plot(b,z) ¾Í¿ÉÒÔÁ˰¡ |
4Â¥2010-12-27 22:56:06
gzqdyouxia
½ð³æ (ÖøÃûдÊÖ)
- Ó¦Öú: 1 (Ó×¶ùÔ°)
- ¹ó±ö: 0.393
- ½ð±Ò: 928.9
- Ìû×Ó: 1600
- ÔÚÏß: 310.6Сʱ
- ³æºÅ: 802190
5Â¥2010-12-27 23:08:04
Сľ³æ:)
ÈÙÓþ°æÖ÷ (ÖøÃûдÊÖ)
- Ó¦Öú: 0 (Ó×¶ùÔ°)
- ¹ó±ö: 2.542
- ½ð±Ò: 9239.2
- Ìû×Ó: 1211
- ÔÚÏß: 343.9Сʱ
- ³æºÅ: 800712
¡ï ¡ï
robert2020(½ð±Ò+2):¶àлӦÖú£¡ÐÁ¿àÁË£¡ 2010-12-29 09:34:53
robert2020(½ð±Ò+2):¶àлӦÖú£¡ÐÁ¿àÁË£¡ 2010-12-29 09:34:53
|
Òª»a-yͼ¾ÍÒª¹Ì¶¨bºÍzÕâÀïÎÒÃǼÙÉèz=1.2 ³ÌÐòΪ clear clc b=0.01; z=1.2; for i=1:1:100 a(i)=(i-1)*0.01; y(i)=z+(7999022433351517/2305843009213693952*z+5509600814111415/72057594037927936*z^3)/(1-a(i))+1/2*b; end plot(a,y) ×¢ÒâÕâÀï²»ÄÜʹµÃa=1£¬·ñÔò·ÖĸΪÁ㻲»³öͼÀ´ Òª»a-zͼ¾ÍÒª¹Ì¶¨bºÍyÕâÀïÎÒÃǼÙÉèy=1.5 ³ÌÐòΪ clear clc b=0.01; y=1.5; for i=1:1:100 a(i)=i*0.01; z(i)=y+(-4534249478333089/576460752303423488*y-3611543935826555/576460752303423488*y^3+17523/50000*y^5)/a(i)-1/2*b; end plot(a,z) ×¢ÒâÕâÀï²»ÄÜʹµÃa=0£¬·ñÔòͬÑùÎÞ·¨»Í¼ |
6Â¥2010-12-29 03:08:33
7Â¥2010-12-29 08:12:36
8Â¥2010-12-29 08:21:08
9Â¥2010-12-29 11:20:35
10Â¥2010-12-30 14:12:58
11Â¥2011-01-06 20:51:41
xiegangmai
°æÖ÷ (Ö°Òµ×÷¼Ò)
- ·ÂÕæEPI: 3
- Ó¦Öú: 157 (¸ßÖÐÉú)
- ¹ó±ö: 5.735
- ½ð±Ò: 40609
- Ìû×Ó: 4046
- ÔÚÏß: 1330.2Сʱ
- ³æºÅ: 653607
12Â¥2011-01-09 16:20:00
xiegangmai
°æÖ÷ (Ö°Òµ×÷¼Ò)
- ·ÂÕæEPI: 3
- Ó¦Öú: 157 (¸ßÖÐÉú)
- ¹ó±ö: 5.735
- ½ð±Ò: 40609
- Ìû×Ó: 4046
- ÔÚÏß: 1330.2Сʱ
- ³æºÅ: 653607
13Â¥2011-01-09 16:26:17
14Â¥2011-01-10 10:06:01
xiegangmai
°æÖ÷ (Ö°Òµ×÷¼Ò)
- ·ÂÕæEPI: 3
- Ó¦Öú: 157 (¸ßÖÐÉú)
- ¹ó±ö: 5.735
- ½ð±Ò: 40609
- Ìû×Ó: 4046
- ÔÚÏß: 1330.2Сʱ
- ³æºÅ: 653607
15Â¥2011-01-10 10:40:27
16Â¥2011-01-10 10:43:03
xiegangmai
°æÖ÷ (Ö°Òµ×÷¼Ò)
- ·ÂÕæEPI: 3
- Ó¦Öú: 157 (¸ßÖÐÉú)
- ¹ó±ö: 5.735
- ½ð±Ò: 40609
- Ìû×Ó: 4046
- ÔÚÏß: 1330.2Сʱ
- ³æºÅ: 653607
17Â¥2011-01-10 13:02:23
18Â¥2013-10-15 10:13:20
19Â¥2014-07-07 17:18:45














»Ø¸´´ËÂ¥