| ²é¿´: 1788 | »Ø¸´: 6 | ||
shiro529Ìú¸Ëľ³æ (СÓÐÃûÆø)
|
[ÇóÖú]
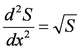
ÇóÖú¡ª¡ªÇó½â³£ÏµÊý¶þ´Î΢·Ö·½³Ì
|
|
|
|
||
xiangqianzshľ³æ (ÖøÃûдÊÖ)
|
¡¾´ð°¸¡¿Ó¦Öú»ØÌû
¡ï ¡ï ¡ï ¡ï ¡ï ¡ï ¡ï ¡ï ¡ï ¡ï
¸Ðл²ÎÓ룬ӦÖúÖ¸Êý +1 shiro529: ½ð±Ò+10, ¡ïÓаïÖú, ÈÔÈ»·Ç³£¸Ðл 2012-03-19 10:57:56
|
|
|
2Â¥2012-03-17 21:34:26
|
|
|
shiro529Ìú¸Ëľ³æ (СÓÐÃûÆø)
|
||
|
3Â¥2012-03-18 11:15:14
|
|
|
xiangqianzshľ³æ (ÖøÃûдÊÖ)
|
» ±¾Ìû¸½¼þ×ÊÔ´Áбí
2012-03-18 12:32:25, 9.06 M
|
|
|
4Â¥2012-03-18 12:32:26
|
|
|
shiro529Ìú¸Ëľ³æ (СÓÐÃûÆø)
|
» ±¾ÌûÒÑ»ñµÃµÄºì»¨£¨×îÐÂ10¶ä£© |
|
|
5Â¥2012-03-19 10:56:30
|
|
|
xiangqianzshľ³æ (ÖøÃûдÊÖ)
|
||
|
6Â¥2012-03-19 12:43:39
|
|
|
peterflyer
|
||
|
7Â¥2013-11-18 16:38:07
|
|














»Ø¸´´ËÂ¥
xiangqianzsh