| ²é¿´: 5792 | »Ø¸´: 17 | |
dollfish000гæ (³õÈëÎÄ̳)
|
[ÇóÖú]
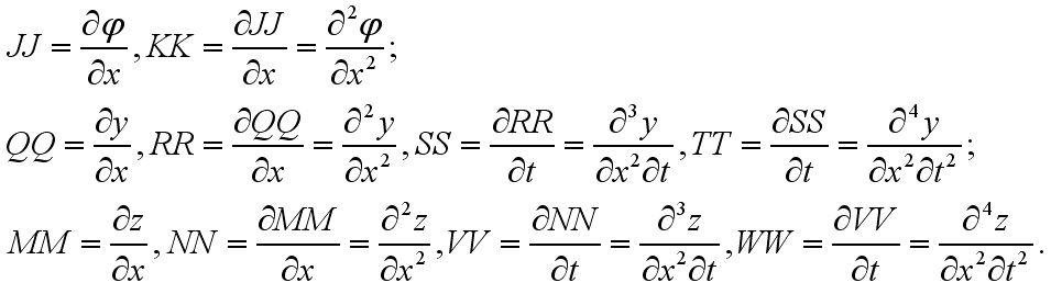
ÇëÎÊÕâ¸ö4½×µÄ·ÇÏßÐÔÆ«Î¢·Ö·½³Ì×éÔÚPDEÖÐÔõô½â£¿µÈ´ý¸ßÊÖ½â´ð¡£
|
|
|
|
| »ØÌûÖ§³Ö ( ÏÔʾ֧³Ö¶È×î¸ßµÄǰ 50 Ãû ) | |
onesupeng½ð³æ (Ö°Òµ×÷¼Ò)
|
|
![]() |
|
|
5Â¥2012-12-03 06:19:49
|
|
| ÆÕͨ»ØÌû | |
dollfish000гæ (³õÈëÎÄ̳)
|
|
|
2Â¥2012-12-02 12:35:48
|
|
dollfish000гæ (³õÈëÎÄ̳)
|
|
|
3Â¥2012-12-02 17:33:06
|
|
dollfish000гæ (³õÈëÎÄ̳)
|
|
|
4Â¥2012-12-02 18:25:55
|
|
dollfish000гæ (³õÈëÎÄ̳)
|
|
|
6Â¥2012-12-03 11:10:34
|
|
dollfish000гæ (³õÈëÎÄ̳)
|
|
|
7Â¥2012-12-05 15:31:57
|
|
dollfish000гæ (³õÈëÎÄ̳)
|
|
|
8Â¥2012-12-17 16:44:11
|
|
dollfish000гæ (³õÈëÎÄ̳)
|
|
|
9Â¥2013-01-07 21:38:56
|
|
wl983662ľ³æ (СÓÐÃûÆø)
|
|
|
10Â¥2013-01-21 14:28:04
|
|














»Ø¸´´ËÂ¥
