| 查看: 2454 | 回复: 12 | |||
xiaojun2010金虫 (正式写手)
|
[求助]
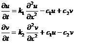
请问这个偏微分方程组有一般的解法么?
|
||
|
|
|||
feixiaolin荣誉版主 (文坛精英)
|
|||
|
2楼2014-05-02 12:01:45
|
|
||
xiaojun2010金虫 (正式写手)
|
|||
|
3楼2014-05-02 17:32:26
|
|
||
huiyuan2012至尊木虫 (文坛精英)
|
|||
|
4楼2014-05-02 18:15:49
|
|
||
peterflyer
|
|||
|
5楼2014-05-02 21:29:48
|
|
||
peterflyer
|
【答案】应助回帖
★ ★ ★ ★ ★ ★ ★ ★ ★ ★ ★ ★
feixiaolin: 金币+2, 五一节 2014-05-02 22:18:42 xiaojun2010: 金币+10, ★★★很有帮助 2014-05-05 09:26:11
|
||
|
6楼2014-05-02 21:57:35
|
|
||
mathstudy金虫 (正式写手)
|
|||
|
7楼2014-05-03 06:47:52
|
|
||
userhung禁虫 (文学泰斗)
木虫博士
|
|||
|
8楼2014-05-03 08:38:49
|
|
||
xiaojun2010金虫 (正式写手)
|
|||
|
9楼2014-05-03 17:12:34
|
|
||
peterflyer
|
【答案】应助回帖
» 本帖已获得的红花(最新10朵) |
||
|
10楼2014-05-03 18:55:38
|
|














回复此楼

xiaojun2010