| 查看: 2376 | 回复: 11 | |||
daixin1983木虫 (小有名气)
|
[求助]
2阶偏微分方程的解法
|
||
|
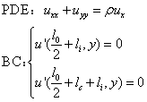
在模型推导中遇到这样一个二阶偏微分方程的求解: 其中除了x,y之外其他系数都是已知的。 我是按分离变量法里的strurm-liouville问题来解的,但是分离变量之后发现关于x的常微分方程是带有1阶导数项的,这跟书上的本征函数表上不符,接下来楼主就傻眼了。请问有什么办法解这个方程吗。 楼主学机械的,希望各位数学系的大侠帮忙。 3.gif |
» 猜你喜欢
有院领导为了换新车,用横向课题经费买了俩车
已经有9人回复
酰胺脱乙酰基
已经有13人回复
博士延得我,科研能力直往上蹿
已经有8人回复
同年申请2项不同项目,第1个项目里不写第2个项目的信息,可以吗
已经有4人回复
有时候真觉得大城市人没有县城人甚至个体户幸福
已经有10人回复
天津大学招2026.09的博士生,欢迎大家推荐交流(博导是本人)
已经有5人回复
CSC & MSCA 博洛尼亚大学能源材料课题组博士/博士后招生|MSCA经费充足、排名优
已经有6人回复
面上项目申报
已经有3人回复
遇见不省心的家人很难过
已经有22人回复
» 本主题相关价值贴推荐,对您同样有帮助:
偏微分方程求解,请赐教,谢谢
已经有7人回复
求助二阶偏微分方程求解
已经有13人回复
求教一个二阶微分表达式的问题
已经有10人回复
二阶非线性偏微分方程如何解?
已经有4人回复
关于二阶偏微分方程求解
已经有21人回复
师兄师姐们,帮小弟看看这个 Laplace变换后的二阶常微分方程怎么解啊
已经有23人回复
请问这个偏微分方程组有一般的解法么?
已经有12人回复
求解一个微分方程,另请教微分方程如何确定其有无解?
已经有7人回复
非线性二阶微分方程组求解,matlab
已经有12人回复
偏微分方程求解!
已经有4人回复
如何用 数值解法 求 二阶微分方程的本征值
已经有18人回复
求解一个二阶偏微分方程~~有结果,但是不知道中间过程(完美解决者答谢100¥)~
已经有4人回复
二阶非线性微分方程求解
已经有14人回复
如何用matlab求解矩阵系数的二阶微分方程
已经有13人回复
如何求解描述振动的二阶微分方程
已经有21人回复
请问如何求解二元一阶微分方程组
已经有24人回复
【求助】求微分方程解析解y''+(2/x)y'-(m/x^2)y+ky=0
已经有4人回复
【求助】请教二阶微分方程的特解(含初始条件)
已经有8人回复
【求助】偏微分方程的基本解
已经有5人回复

pippi6
铁杆木虫 (著名写手)
工程和科学数值计算咨询
- 数学EPI: 6
- 应助: 413 (硕士)
- 贵宾: 0.002
- 金币: 7116.5
- 散金: 15
- 红花: 63
- 帖子: 1639
- 在线: 798.9小时
- 虫号: 2469437
- 注册: 2013-05-14
- 专业: 计算数学与科学工程计算
10楼2013-08-14 19:49:34
pippi6
铁杆木虫 (著名写手)
工程和科学数值计算咨询
- 数学EPI: 6
- 应助: 413 (硕士)
- 贵宾: 0.002
- 金币: 7116.5
- 散金: 15
- 红花: 63
- 帖子: 1639
- 在线: 798.9小时
- 虫号: 2469437
- 注册: 2013-05-14
- 专业: 计算数学与科学工程计算
2楼2013-08-14 17:10:15
feixiaolin
荣誉版主 (文坛精英)
-

专家经验: +518 - 应助: 942 (博后)
- 贵宾: 1.275
- 金币: 3430
- 散金: 58785
- 红花: 532
- 沙发: 11
- 帖子: 24215
- 在线: 2601.8小时
- 虫号: 2139575
- 注册: 2012-11-21
- 专业: 光学信息获取与处理
- 管辖: 数学
3楼2013-08-14 17:52:19
daixin1983
木虫 (小有名气)
- 应助: 9 (幼儿园)
- 金币: 2786.1
- 散金: 20
- 红花: 2
- 帖子: 220
- 在线: 93.1小时
- 虫号: 1464212
- 注册: 2011-10-27
- 专业: 传动机械学

4楼2013-08-14 18:12:27
daixin1983
木虫 (小有名气)
- 应助: 9 (幼儿园)
- 金币: 2786.1
- 散金: 20
- 红花: 2
- 帖子: 220
- 在线: 93.1小时
- 虫号: 1464212
- 注册: 2011-10-27
- 专业: 传动机械学

5楼2013-08-14 18:14:48
daixin1983
木虫 (小有名气)
- 应助: 9 (幼儿园)
- 金币: 2786.1
- 散金: 20
- 红花: 2
- 帖子: 220
- 在线: 93.1小时
- 虫号: 1464212
- 注册: 2011-10-27
- 专业: 传动机械学

6楼2013-08-14 18:15:02
pippi6
铁杆木虫 (著名写手)
工程和科学数值计算咨询
- 数学EPI: 6
- 应助: 413 (硕士)
- 贵宾: 0.002
- 金币: 7116.5
- 散金: 15
- 红花: 63
- 帖子: 1639
- 在线: 798.9小时
- 虫号: 2469437
- 注册: 2013-05-14
- 专业: 计算数学与科学工程计算
7楼2013-08-14 19:05:46
daixin1983
木虫 (小有名气)
- 应助: 9 (幼儿园)
- 金币: 2786.1
- 散金: 20
- 红花: 2
- 帖子: 220
- 在线: 93.1小时
- 虫号: 1464212
- 注册: 2011-10-27
- 专业: 传动机械学

8楼2013-08-14 19:27:59
daixin1983
木虫 (小有名气)
- 应助: 9 (幼儿园)
- 金币: 2786.1
- 散金: 20
- 红花: 2
- 帖子: 220
- 在线: 93.1小时
- 虫号: 1464212
- 注册: 2011-10-27
- 专业: 传动机械学

9楼2013-08-14 19:29:02













回复此楼