| 查看: 2778 | 回复: 18 | |||
[求助]
如何用 数值解法 求 二阶微分方程的本征值已有1人参与
|
|||
|
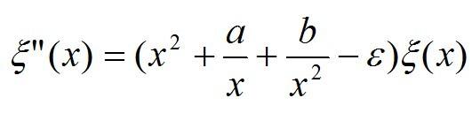
如图片中所示的二阶微分方程,其中a, b 是已知参数,需要确定 本正值 E, 就是那个小写的 ipsilon, 就是这个微分方程有本征值,以及求这个本征解。 我只听说可以用 切比雪夫多项式 的方法解这个微分方程,可是我没有找到相关类似方法的具体步凑,我只找到了这个多项式的具体形式,不知道这个尝试解的收敛性是怎么操作的。 如果大家有别的 尝试解 的方法,有参考文献资料的最好了。 微分方程.jpg |
» 猜你喜欢
天津工业大学郑柳春团队欢迎化学化工、高分子化学或有机合成方向的博士生和硕士生加入
已经有4人回复
康复大学泰山学者周祺惠团队招收博士研究生
已经有6人回复
AI论文写作工具:是科研加速器还是学术作弊器?
已经有3人回复
孩子确诊有中度注意力缺陷
已经有6人回复
2026博士申请-功能高分子,水凝胶方向
已经有6人回复
论文投稿,期刊推荐
已经有4人回复
硕士和导师闹得不愉快
已经有13人回复
请问2026国家基金面上项目会启动申2停1吗
已经有5人回复
同一篇文章,用不同账号投稿对编辑决定是否送审有没有影响?
已经有3人回复
RSC ADV状态问题
已经有4人回复
» 本主题相关价值贴推荐,对您同样有帮助:
含偏微分之绝对值项的一阶偏微分方程组的数值解法
已经有7人回复
2011注册化工工程师基础考试大纲 是不是和往年的有改变???
已经有5人回复
2011年注册化工工程师基础考试大纲
已经有25人回复
【求助】请教非齐次常微分方程组的解析解法
已经有4人回复
注册化工工程师
已经有10人回复
【求助】求2010年注册化工工程师基础考试的考试大纲
已经有4人回复
求2010年注册化工工程师基础考试的考试大纲
已经有3人回复
【求助】一个二阶常微分方程的解法(重奖金币!)
已经有16人回复
求张文生《科学计算中的偏微分方程有限差分法》和胡建伟,汤怀民《微分方程数值解法》
已经有3人回复
【求助】偏微分方程解法
已经有19人回复
【信息】环保工程师报考条件
已经有11人回复
【分享】2009年注册环保工程师基础考试大纲
已经有11人回复
2楼2013-04-14 22:44:05
onesupeng
金虫 (职业作家)
- 数学EPI: 17
- 应助: 256 (大学生)
- 贵宾: 1.36
- 金币: 2336.2
- 散金: 9212
- 红花: 92
- 帖子: 4583
- 在线: 1303.8小时
- 虫号: 394701
- 注册: 2007-06-07
- 专业: 流体力学
【答案】应助回帖
感谢参与,应助指数 +1
|
我可以简单地说一个思路,这个用差分法,结合matlab计算,比较容易实现。首先,假定x定义在[x0,x1]之间,且从方程看,可能还要求x1>x0>0。把你的方程记为:eps''=f(x) eps 假定将计算域划分为N,在i点差分你的方程,大约有: eps_(i-1)-2*eps_i+eps_(i+1)=f(x_i)dx^2 eps_i -->1*eps_(i-1)-[2+f(x_i)dx^2]*eps_(i)+1*eps_(i+1)=0 当i=1时,利用边界条件,可以把eps_(i-1)用eps_i+eps_(i+1)表示,方程可以写为 -[2+f(x_i)dx^2+a]*eps_(i)+[1+b]*eps_(i+1)=0 的形式。同理可求i=N点的情况。 于是方程离散为: [A]*[eps]=0 其中,[A]为N*N的三对角矩阵: a1 b1 0 0 .................... b a b 0 .................... .................................... .........................b a b ............................b2 a2 于是,使用matlab求[A]的特征值。即为你需要的情况。如果说成这样你还不会,我可以帮你编程,但是你需要联系你导师发表论文挂我为作者之一。 |

4楼2013-04-15 03:20:12
feixiaolin
荣誉版主 (文坛精英)
-

专家经验: +518 - 应助: 942 (博后)
- 贵宾: 1.275
- 金币: 2930
- 散金: 58785
- 红花: 532
- 沙发: 11
- 帖子: 24215
- 在线: 2601.8小时
- 虫号: 2139575
- 注册: 2012-11-21
- 专业: 光学信息获取与处理
- 管辖: 数学
【答案】应助回帖
★ ★ ★ ★ ★ ★ ★ ★ ★ ★ ★ ★ ★ ★ ★ ★ ★ ★ ★ ★ ★ ★ ★ ★ ★ ★ ★ ★ ★ ★ ★ ★ ★ ★ ★ ★ ★ ★ ★ ★ ★ ★ ★ ★ ★ ★ ★ ★ ★ ★
signo: 金币+50, ★★★很有帮助 2014-01-09 01:20:27
signo: 金币+50, ★★★很有帮助 2014-01-09 01:20:27
16楼2014-01-06 19:25:22
|
我搜了 你说的 Numerov's method, 里面有说解 Schrödinger Equation ,我这个方程就是从 薛定谔方程画出来的。 http://en.wikipedia.org/wiki/Numerov%27s_method |
3楼2013-04-14 22:54:32
5楼2013-04-15 05:01:12
onesupeng
金虫 (职业作家)
- 数学EPI: 17
- 应助: 256 (大学生)
- 贵宾: 1.36
- 金币: 2336.2
- 散金: 9212
- 红花: 92
- 帖子: 4583
- 在线: 1303.8小时
- 虫号: 394701
- 注册: 2007-06-07
- 专业: 流体力学

6楼2013-04-18 03:43:01
7楼2013-04-18 04:45:15
onesupeng
金虫 (职业作家)
- 数学EPI: 17
- 应助: 256 (大学生)
- 贵宾: 1.36
- 金币: 2336.2
- 散金: 9212
- 红花: 92
- 帖子: 4583
- 在线: 1303.8小时
- 虫号: 394701
- 注册: 2007-06-07
- 专业: 流体力学

8楼2013-04-18 06:38:33
9楼2013-04-18 10:05:48
onesupeng
金虫 (职业作家)
- 数学EPI: 17
- 应助: 256 (大学生)
- 贵宾: 1.36
- 金币: 2336.2
- 散金: 9212
- 红花: 92
- 帖子: 4583
- 在线: 1303.8小时
- 虫号: 394701
- 注册: 2007-06-07
- 专业: 流体力学

10楼2013-04-18 20:20:21













回复此楼
