| 查看: 2902 | 回复: 21 | |||
shengjunjie木虫 (正式写手)
|
[求助]
如何求解描述振动的二阶微分方程
|
||
|
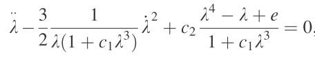
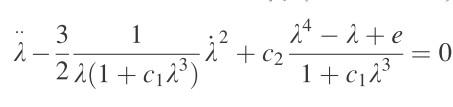
那位大侠给看看这种描述振动的二阶微分方程,困扰我一阵子了 其中C1=0.08;C2=2.3;e=0.3*(sin(335*t))^2 如何根据上面的公式求解λ和时间的关系,用matlab画出类似下面的图形 |
» 猜你喜欢
302分求调剂 一志愿安徽大学085601
已经有5人回复
材料与化工371求调剂
已经有4人回复
313求调剂
已经有3人回复
求调剂
已经有6人回复
材料工程302分求调剂
已经有5人回复
生物学308分求调剂(一志愿华东师大)
已经有4人回复
304求调剂(085602,过四级,一志愿985)
已经有8人回复
复试调剂
已经有6人回复
求
已经有4人回复
求调剂
已经有8人回复
» 本主题相关价值贴推荐,对您同样有帮助:
隐式欧拉法求解一阶常微分方程
已经有7人回复
请问如何求解二元一阶微分方程组
已经有24人回复
LABVIEW四阶龙格库塔法求解一阶微分方程组
已经有12人回复
用MATLAB ode45求解2阶微分方程
已经有4人回复
【求助】怎么计算二阶的偏微分方程
已经有7人回复
【求助】求助一个一阶常微分方程的初值问题
已经有16人回复
【求助】请教二阶微分方程的特解(含初始条件)
已经有8人回复
【求助】一个二阶常微分方程的解法(重奖金币!)
已经有16人回复
【求助】求解以二阶微分方程,赠金币!!
已经有13人回复
二阶偏微分方程求解
已经有4人回复
【求助】如何用Runge-Kutta迭代求解二阶常微分方程组【已解决】
已经有9人回复

dbb627
荣誉版主 (著名写手)
-

专家经验: +4 - 仿真EPI: 6
- 应助: 289 (大学生)
- 贵宾: 0.589
- 金币: 24640.4
- 散金: 551
- 红花: 61
- 沙发: 1
- 帖子: 1246
- 在线: 1794.8小时
- 虫号: 149791
- 注册: 2005-12-29
- 性别: GG
- 专业: 污染控制化学
- 管辖: 计算模拟

6楼2012-04-16 20:56:55
dbb627
荣誉版主 (著名写手)
-

专家经验: +4 - 仿真EPI: 6
- 应助: 289 (大学生)
- 贵宾: 0.589
- 金币: 24640.4
- 散金: 551
- 红花: 61
- 沙发: 1
- 帖子: 1246
- 在线: 1794.8小时
- 虫号: 149791
- 注册: 2005-12-29
- 性别: GG
- 专业: 污染控制化学
- 管辖: 计算模拟

2楼2012-04-16 15:02:28
shengjunjie
木虫 (正式写手)
- 应助: 0 (幼儿园)
- 金币: 3613
- 散金: 208
- 红花: 2
- 帖子: 320
- 在线: 128.7小时
- 虫号: 988929
- 注册: 2010-04-04
- 性别: GG
- 专业: 橡胶及弹性体

3楼2012-04-16 20:34:29
shengjunjie
木虫 (正式写手)
- 应助: 0 (幼儿园)
- 金币: 3613
- 散金: 208
- 红花: 2
- 帖子: 320
- 在线: 128.7小时
- 虫号: 988929
- 注册: 2010-04-04
- 性别: GG
- 专业: 橡胶及弹性体

4楼2012-04-16 20:43:50
shengjunjie
木虫 (正式写手)
- 应助: 0 (幼儿园)
- 金币: 3613
- 散金: 208
- 红花: 2
- 帖子: 320
- 在线: 128.7小时
- 虫号: 988929
- 注册: 2010-04-04
- 性别: GG
- 专业: 橡胶及弹性体

5楼2012-04-16 20:54:38
shengjunjie
木虫 (正式写手)
- 应助: 0 (幼儿园)
- 金币: 3613
- 散金: 208
- 红花: 2
- 帖子: 320
- 在线: 128.7小时
- 虫号: 988929
- 注册: 2010-04-04
- 性别: GG
- 专业: 橡胶及弹性体

7楼2012-04-17 09:36:54
dbb627
荣誉版主 (著名写手)
-

专家经验: +4 - 仿真EPI: 6
- 应助: 289 (大学生)
- 贵宾: 0.589
- 金币: 24640.4
- 散金: 551
- 红花: 61
- 沙发: 1
- 帖子: 1246
- 在线: 1794.8小时
- 虫号: 149791
- 注册: 2005-12-29
- 性别: GG
- 专业: 污染控制化学
- 管辖: 计算模拟

8楼2012-04-17 10:16:54
shengjunjie
木虫 (正式写手)
- 应助: 0 (幼儿园)
- 金币: 3613
- 散金: 208
- 红花: 2
- 帖子: 320
- 在线: 128.7小时
- 虫号: 988929
- 注册: 2010-04-04
- 性别: GG
- 专业: 橡胶及弹性体
|
你好,这样编程对不对 %其中lambda(0)=1,D(lambda(0))=0 odefun=@(t,x)[x(2);3*x(2).^2/(2*x(1)*(1+0.08*x(1).^3))-1.342*10^7*(x(1).^4-x(1)+(61.98/6.71)*(0.185*sin(2*pi*335*t)).^2)./(1+0.08*x(1).^3)]; [t,x]=ode45(odefun,[0 0.06],[1 0]);% 自变量的范围和初始值 figure(1); plot(t,x(:,1)) figure(2); y=fft(x(:,1)); plot(abs(y)); % 画幅频曲线 figure(3); plot(angle(y)); % 画相频曲线 在你的基础上直接加了这句话, figure(2); y=fft(x(:,1)); plot(abs(y)); % 画幅频曲线 figure(3); plot(angle(y)); % 画相频曲线 这样的结果好像不对 但是函数中的2*pi*f=335是固定的 |

9楼2012-04-17 10:21:20
shengjunjie
木虫 (正式写手)
- 应助: 0 (幼儿园)
- 金币: 3613
- 散金: 208
- 红花: 2
- 帖子: 320
- 在线: 128.7小时
- 虫号: 988929
- 注册: 2010-04-04
- 性别: GG
- 专业: 橡胶及弹性体

10楼2012-04-17 10:22:37














回复此楼