| 查看: 2016 | 回复: 7 | ||
[交流]
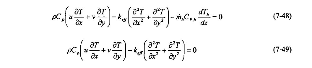
【求助】怎么计算二阶的偏微分方程 已有4人参与
|
» 本主题相关价值贴推荐,对您同样有帮助:
数值方法求解偏微分方程的问题
已经有4人回复
偏微分方程(PDEs)的MATLAB数值解法
已经有262人回复
【求助】MATLAB 有限差分法(FDM)求解偏微分方程
已经有22人回复
【求助】如何利用软件,数值求解“一维无限深方势井”问题。
已经有7人回复
【求助】求问一个寻找最优解问题,是泛函问题么
已经有22人回复
2楼2011-04-08 20:18:29
cyl1124
荣誉版主 (文坛精英)
花花帅虫
- 应助: 15 (小学生)
- 贵宾: 2.569
- 金币: 9220.1
- 散金: 14017
- 红花: 95
- 沙发: 64
- 帖子: 11656
- 在线: 1063.5小时
- 虫号: 1140333
- 注册: 2010-11-06
- 性别: GG
- 专业: 能源化工
- 管辖: 电脑使用

3楼2011-04-09 00:04:01
4楼2011-04-09 12:40:41
cyl1124
荣誉版主 (文坛精英)
花花帅虫
- 应助: 15 (小学生)
- 贵宾: 2.569
- 金币: 9220.1
- 散金: 14017
- 红花: 95
- 沙发: 64
- 帖子: 11656
- 在线: 1063.5小时
- 虫号: 1140333
- 注册: 2010-11-06
- 性别: GG
- 专业: 能源化工
- 管辖: 电脑使用

5楼2011-04-09 19:50:59
cyl1124
荣誉版主 (文坛精英)
花花帅虫
- 应助: 15 (小学生)
- 贵宾: 2.569
- 金币: 9220.1
- 散金: 14017
- 红花: 95
- 沙发: 64
- 帖子: 11656
- 在线: 1063.5小时
- 虫号: 1140333
- 注册: 2010-11-06
- 性别: GG
- 专业: 能源化工
- 管辖: 电脑使用

6楼2011-04-09 20:02:25
终之太刀—晓
铁杆木虫 (著名写手)
数学爱好者
- 数学EPI: 7
- 应助: 282 (大学生)
- 贵宾: 0.018
- 金币: 2934.2
- 散金: 5589
- 红花: 53
- 帖子: 1809
- 在线: 401.6小时
- 虫号: 3469007
- 注册: 2014-10-12
- 性别: MM
- 专业: 偏微分方程

7楼2014-11-03 01:09:02
连续统假说i
木虫 (正式写手)
- 应助: 3 (幼儿园)
- 金币: 2780.5
- 散金: 5562
- 红花: 4
- 帖子: 489
- 在线: 99小时
- 虫号: 1446174
- 注册: 2011-10-17
- 专业: 代数学

8楼2014-11-03 05:36:26














回复此楼
5