| 查看: 2577 | 回复: 4 | ||
激发态电子铁虫 (初入文坛)
|
[求助]
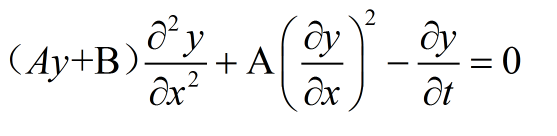
二阶非线性偏微分方程如何解? 已有1人参与
|
|
|
|
||
终之太刀—晓铁杆木虫 (著名写手)
数学爱好者
|
||
![]() |
||
|
2楼2014-10-30 13:35:36
|
|
|
终之太刀—晓铁杆木虫 (著名写手)
数学爱好者
|
||
![]() |
||
|
3楼2014-10-31 14:15:10
|
|
|
终之太刀—晓铁杆木虫 (著名写手)
数学爱好者
|
» 本帖附件资源列表
2014-11-06 02:20:29, 25.57 M
|
|
![]() |
||
|
4楼2014-11-06 02:23:56
|
|
|
|
5楼2015-12-12 00:16:44
|
|















回复此楼
