| 查看: 2687 | 回复: 13 | ||
Coco_hdu新虫 (初入文坛)
|
[交流]
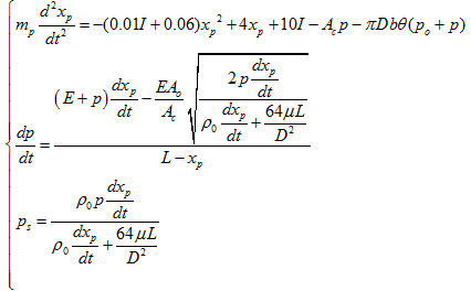
用Matlab求一个二阶微分方程,出错了,求指导(求助) 已有4人参与
|
|
» 本主题相关价值贴推荐,对您同样有帮助:
非线性二阶微分方程组求解,matlab
已经有12人回复
偏微分方程Matlab求解
已经有7人回复
Matlab求解微分方程(组)及偏微分方程(组)
已经有224人回复
Matlab数值求解二阶常微分方程
已经有9人回复
Matlab数值求解非线性常微分方程
已经有5人回复
matlab求二阶偏导数
已经有3人回复
求助,matlab求解二元二阶的常微分方程组
已经有9人回复
求助,用matlab解微分方程组,希望高手能给予指点
已经有17人回复
如何用Matlab求时变微分方程的解?
已经有5人回复
matlab解偏微分方程求助
已经有12人回复
一个二阶常微分方程的求解方法?
已经有5人回复
求高手解答Matlab求解微分方程的初始值和边界值问题
已经有5人回复
二阶非线性微分方程求解
已经有14人回复
求解两个简单非线性常微分方程~~
已经有4人回复
如何用matlab求解矩阵系数的二阶微分方程
已经有13人回复
Matlab: 用bvp解二阶微分方程(边界值)遇到困难,请高手指点
已经有5人回复
matlab二阶微分方程求解程序
已经有5人回复
matlab有限差分法求解复杂的偏微分方程组
已经有19人回复
Matlab求解偏微分方程组
已经有22人回复
隐式欧拉法求解一阶常微分方程
已经有7人回复
【求助】积分微分方程matlab求解
已经有6人回复
【求助】求助一个一阶常微分方程的初值问题
已经有16人回复
【求助】一个二阶常微分方程的解法(重奖金币!)
已经有16人回复
4楼2014-08-30 15:50:18
cooooldog
铁杆木虫 (著名写手)
ส็็็
- 数学EPI: 2
- 应助: 237 (大学生)
- 金币: 6101.9
- 散金: 1114
- 红花: 39
- 帖子: 1380
- 在线: 553.8小时
- 虫号: 506699
- 注册: 2008-02-18
- 专业: 模式识别

2楼2014-08-25 18:09:06
小吴smallwu
木虫 (小有名气)
- 应助: 18 (小学生)
- 金币: 1627.6
- 散金: 200
- 红花: 2
- 帖子: 189
- 在线: 114.5小时
- 虫号: 3378771
- 注册: 2014-08-22
- 性别: GG
- 专业: 传热传质学

3楼2014-08-29 10:42:02
5楼2014-08-30 16:08:02
Coco_hdu
新虫 (初入文坛)
- 应助: 1 (幼儿园)
- 金币: 53.3
- 帖子: 14
- 在线: 4.7小时
- 虫号: 2620473
- 注册: 2013-08-28
- 性别: GG
- 专业: 制造系统与自动化
6楼2014-09-03 16:19:39
Coco_hdu
新虫 (初入文坛)
- 应助: 1 (幼儿园)
- 金币: 53.3
- 帖子: 14
- 在线: 4.7小时
- 虫号: 2620473
- 注册: 2013-08-28
- 性别: GG
- 专业: 制造系统与自动化
7楼2014-09-03 16:20:59
Coco_hdu
新虫 (初入文坛)
- 应助: 1 (幼儿园)
- 金币: 53.3
- 帖子: 14
- 在线: 4.7小时
- 虫号: 2620473
- 注册: 2013-08-28
- 性别: GG
- 专业: 制造系统与自动化
8楼2014-09-03 16:22:54
Coco_hdu
新虫 (初入文坛)
- 应助: 1 (幼儿园)
- 金币: 53.3
- 帖子: 14
- 在线: 4.7小时
- 虫号: 2620473
- 注册: 2013-08-28
- 性别: GG
- 专业: 制造系统与自动化
9楼2014-09-03 16:25:45
Coco_hdu
新虫 (初入文坛)
- 应助: 1 (幼儿园)
- 金币: 53.3
- 帖子: 14
- 在线: 4.7小时
- 虫号: 2620473
- 注册: 2013-08-28
- 性别: GG
- 专业: 制造系统与自动化
10楼2014-09-03 16:26:46














回复此楼
从哪里看,求指导