| ²é¿´: 2822 | »Ø¸´: 7 | ||
СѧÄÐÉú½ð³æ (СÓÐÃûÆø)
|
[ÇóÖú]
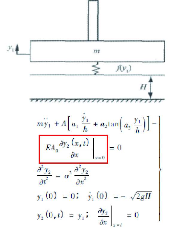
ƫ΢·Ö·½³ÌMatlabÇó½â ÒÑÓÐ1È˲ÎÓë
|
|
|
|
||
|
2Â¥2014-02-21 22:53:10
|
|
|
СѧÄÐÉú½ð³æ (СÓÐÃûÆø)
|
||
|
3Â¥2014-02-22 13:52:43
|
|
|
|
||
|
4Â¥2014-02-23 02:59:36
|
|
|
СѧÄÐÉú½ð³æ (СÓÐÃûÆø)
|
|
|
|
5Â¥2014-02-23 10:38:27
|
|
|
|
||
|
6Â¥2014-02-24 12:59:04
|
|
|
СѧÄÐÉú½ð³æ (СÓÐÃûÆø)
|
|
|
|
7Â¥2014-02-24 21:41:21
|
|
|
СѧÄÐÉú½ð³æ (СÓÐÃûÆø)
|
||
|
8Â¥2014-02-24 21:45:25
|
|














»Ø¸´´ËÂ¥