| ²é¿´: 2824 | »Ø¸´: 6 | ||
ÏÄСѤ_êÍгæ (³õÈëÎÄ̳)
|
[ÇóÖú]
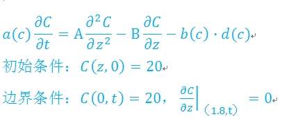
±äϵÊýƫ΢·Ö·½³ÌmatlabÇó½â
|
|
|
|
||
thermalEľ³æ (ÕýʽдÊÖ)
|
¡ï
fegg7502: ½ð±Ò+1, ¹ÄÀø½»Á÷ 2014-02-11 11:13:17
» ±¾ÌûÒÑ»ñµÃµÄºì»¨£¨×îÐÂ10¶ä£© |
|
|
2Â¥2014-02-10 16:14:46
|
|
|
ÏÄСѤ_êÍгæ (³õÈëÎÄ̳)
|
||
|
3Â¥2014-02-10 16:46:30
|
|
|
thermalEľ³æ (ÕýʽдÊÖ)
|
¡¾´ð°¸¡¿Ó¦Öú»ØÌû
¡ï
fegg7502: ½ð±Ò+1, Ó¦ÖúÖ¸Êý+1, 3ks 2014-02-11 11:13:28
|
|
|
4Â¥2014-02-10 17:27:08
|
|
|
thermalEľ³æ (ÕýʽдÊÖ)
|
¡ï
fegg7502: ½ð±Ò+1, 3ks 2014-02-11 11:13:35
|
|
|
5Â¥2014-02-10 17:32:45
|
|
|
ÏÄСѤ_êÍгæ (³õÈëÎÄ̳)
|
||
|
6Â¥2014-02-12 10:33:10
|
|
|
moringmoreгæ (³õÈëÎÄ̳)
|
||
|
7Â¥2014-05-15 17:17:03
|
|














»Ø¸´´ËÂ¥
ÏÄСѤ_êÍ