| 查看: 1987 | 回复: 3 | |||
[求助]
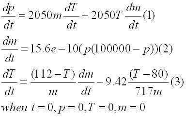
matlab 非线性微分方程求解 已有1人参与
|
|||
|
|
|||
|
2楼2014-01-02 20:46:18
|
|
||
jerkwin专家顾问 (正式写手)
|
|||
|
3楼2014-01-02 23:32:29
|
|
||
|
4楼2014-01-03 08:43:38
|
|













回复此楼
leechy

30