| 查看: 1836 | 回复: 5 | ||
[求助]
MATLAB求解非线性方程组
|
有用 |
» 猜你喜欢
302分 085601求调剂推荐
已经有6人回复
318求调剂
已经有7人回复
生物学308分求调剂(一志愿华东师大)
已经有6人回复
0703化学调剂325分
已经有8人回复
生物工程求调剂
已经有5人回复
290求调剂085701
已经有10人回复
081700学硕,323分,一志愿中国海洋大学求调剂学校
已经有14人回复
求调剂
已经有3人回复
283分求调剂
已经有8人回复
295求调剂
已经有9人回复
» 本主题相关价值贴推荐,对您同样有帮助:
请问这个4阶的非线性偏微分方程组在PDE中怎么解?等待高手解答。
已经有17人回复
求助matlab 非线性方程组全部解!
已经有6人回复
matlab求解非线性方程组,错误提示怎么解决
已经有5人回复
求助 MATLAB解方程组-fslove
已经有7人回复
请教用matlab求解一个非线性偏微分方程组的数值解
已经有8人回复
求助matlab---fsolve解非线性方程组
已经有6人回复
用不动点迭代求非线性方程组,求得的不是想要的解,怎么办
已经有12人回复
初学者,请教大家关于matlab解多元二次方程组
已经有4人回复
matlab求解非线性方程组,求助!
已经有6人回复
求助!matlab用fsolve函数求解非线性方程组的问题!
已经有19人回复
如何使用matlab求解非线性方程组的所有整数解?
已经有9人回复
Matlab求解偏微分方程组
已经有22人回复
matlab求解非线性方程组
已经有16人回复
matlab数值求解边界条件微分方程组
已经有7人回复
求matlab求解一个方程组的问题
已经有6人回复
求高人指点用matlab求解非线性方程组,解决了追加100金币;
已经有11人回复
matlab的fsove 命令求解非线性方程组
已经有6人回复
MATLAB非线性方程组求解~~~反应釜模拟
已经有9人回复
【求助】向各位大侠求助matlab求解微分方程组遇到的一个问题
已经有21人回复
非线性方程组的迭代法(数值计算高手请进)
已经有7人回复
【求助】求教matlab解非线性方程组
已经有9人回复
2楼2013-03-19 18:17:04

3楼2013-03-19 18:41:27
shizijun
木虫 (著名写手)
自定义头衔
- 应助: 20 (小学生)
- 金币: 3662.6
- 散金: 2205
- 红花: 6
- 帖子: 2323
- 在线: 422.6小时
- 虫号: 443442
- 注册: 2007-10-27
- 性别: GG
- 专业: 有机高分子功能材料
【答案】应助回帖
★ ★
感谢参与,应助指数 +1
xiegangmai: 金币+2, 谢谢参与! 2013-03-20 20:54:26
感谢参与,应助指数 +1
xiegangmai: 金币+2, 谢谢参与! 2013-03-20 20:54:26
|
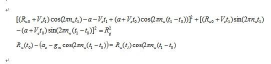
改写了一点,可以算。不过貌似跟你给出的f2的表达式不太一致 clear all;clc; syms t1 t0 Rw0=12e-3; Vc=10e-6/60; Rg=3e-3; a=6e-3; ae=10e-6/60; nw=300*3.14*2/60; f1=((Rw0+Vc*t1)*cos(2*3.14*nw*t1)-a-Vc*t1+(a+Vc*t0)*cos(2*3.14*nw*(t1-t0)))^2+((Rw0+Vc*t1)*sin(2*3.14*nw*t1)-(a+Vc*t0)*sin(2*3.14*nw*(t1-t0)))^2-Rg^2; f2=Rw0+Vc*t0-ae-(Rw0+Vc*t1)*cos(2*3.14*nw*(t1-t0)); [t0,t1]=solve(f1,f2,'t1,t0') |

4楼2013-03-19 18:55:24
5楼2013-03-20 13:39:32
6楼2013-03-20 13:40:21














回复此楼