| ²é¿´: 1610 | »Ø¸´: 6 | ||||
Kevin1987sгæ (³õÈëÎÄ̳)
|
[ÇóÖú]
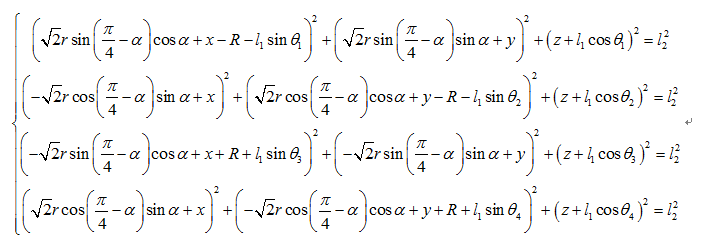
matlabÇó½â·ÇÏßÐÔ·½³Ì×飬ÇóÖú£¡
|
|||
|
|
||||
csgt0ÈÙÓþ°æÖ÷ (ÖøÃûдÊÖ)
²ÊÉ«¹Òͼ
|
||||
![]() |
||||
|
2Â¥2012-05-21 13:29:15
|
|
|||
Kevin1987sгæ (³õÈëÎÄ̳)
|
||||
|
3Â¥2012-05-21 14:15:38
|
|
|||
csgt0ÈÙÓþ°æÖ÷ (ÖøÃûдÊÖ)
²ÊÉ«¹Òͼ
|
||||
![]() |
||||
|
4Â¥2012-05-21 14:20:32
|
|
|||
Kevin1987sгæ (³õÈëÎÄ̳)
|
||||
|
5Â¥2012-05-21 14:28:47
|
|
|||
csgt0ÈÙÓþ°æÖ÷ (ÖøÃûдÊÖ)
²ÊÉ«¹Òͼ
|
||||
![]() |
||||
|
6Â¥2012-05-21 14:38:22
|
|
|||
csgt0ÈÙÓþ°æÖ÷ (ÖøÃûдÊÖ)
²ÊÉ«¹Òͼ
|
¡¾´ð°¸¡¿Ó¦Öú»ØÌû
|
|||
![]() |
||||
|
7Â¥2012-05-21 14:45:09
|
|














»Ø¸´´ËÂ¥

5