| 查看: 3197 | 回复: 31 | |||
businiao412金虫 (正式写手)
|
[求助]
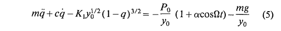
请教一个非线性方程非线性项转化为多项式的方法 已有2人参与
|
||
|
|
|||
| 回帖支持 ( 显示支持度最高的前 50 名 ) | |||
guojiashun铁杆木虫 (正式写手)
|
【答案】应助回帖
★ ★ ★ ★ ★ ★ ★ ★ ★ ★ ★ ★ ★ ★ ★
感谢参与,应助指数 +1 businiao412: 金币+15, ★★★★★最佳答案, 衷心感谢您细致透彻的讲解,有种豁然开朗的感觉,我按照您的思路试做一下,有问题再向您请教。 2014-08-11 14:57:17
|
||
|
3楼2014-08-10 19:43:10
|
|
||
herowolf木虫 (正式写手)
|
|||
|
2楼2014-08-10 16:53:53
|
|
||
guojiashun铁杆木虫 (正式写手)
|
|||
|
6楼2014-08-11 15:50:17
|
|
||
feixiaolin荣誉版主 (文坛精英)
|
|||
|
7楼2014-08-11 16:08:40
|
|
||
guojiashun铁杆木虫 (正式写手)
|
|
||
|
13楼2014-08-14 01:43:25
|
|
||
guojiashun铁杆木虫 (正式写手)
|
|||
|
15楼2014-08-14 01:55:19
|
|
||
guojiashun铁杆木虫 (正式写手)
|
|
||
|
19楼2014-08-14 14:27:18
|
|
||
guojiashun铁杆木虫 (正式写手)
|
|
||
|
29楼2014-08-14 19:03:52
|
|
||
guojiashun铁杆木虫 (正式写手)
|
|
||
|
30楼2014-08-14 19:28:03
|
|
||
| 普通回帖 | |||
businiao412金虫 (正式写手)
|
|||
|
4楼2014-08-11 14:59:13
|
|
||
businiao412金虫 (正式写手)
|
|||
|
5楼2014-08-11 15:14:27
|
|
||
businiao412金虫 (正式写手)
|
|||
|
8楼2014-08-11 16:33:54
|
|
||
businiao412金虫 (正式写手)
|
|||
|
9楼2014-08-13 11:34:35
|
|
||
guojiashun铁杆木虫 (正式写手)
|
|||
|
10楼2014-08-13 16:23:32
|
|
||














回复此楼
