| ²é¿´: 1201 | »Ø¸´: 7 | ||
malin877гæ (СÓÐÃûÆø)
|
[ÇóÖú]
·ÇÏßÐÔ·½³ÌÇó½âÎÊÌ⣬ÇóÖú¸÷λÐֵܽãÃÃÃÇ~~
|
|
±¾ÈË·ÇÊýѧרҵ£¬µ«ÊÇ×î½üʵÑé¹ý³ÌÖÐÓöµ½ÁËÒ»¸ö·ÇÏßÐÔ·½³ÌµÄÇó½âÎÊÌ⣬˼¿¼ÊýÈÕ£¬ÊµÔÚŪ²»¶®ÁË£¬·³ÇëÖîλ°ïæ¿´ÏÂÒÔÏÂÄĸö½âÊÇÕýÈ·µÄ£¬»òÕß¶¼²»ÕýÈ·£¿ ¶àл¶àл£¡£¡£¡ |
» ²ÂÄãϲ»¶
312Çóµ÷¼Á
ÒѾÓÐ5È˻ظ´
0703µ÷¼Á£¬Ò»Ö¾Ô¸Ìì½ò´óѧ319·Ö
ÒѾÓÐ9È˻ظ´
085600²ÄÁÏÓ뻯¹¤301·ÖÇóµ÷¼ÁԺУ
ÒѾÓÐ10È˻ظ´
ר˶0854³õÊÔ¿¼²Ä¿Æ»ù£¬Çóµ÷¼Á
ÒѾÓÐ3È˻ظ´
Çóµ÷¼Á
ÒѾÓÐ8È˻ظ´
085600£¬320·ÖÇóµ÷¼Á
ÒѾÓÐ17È˻ظ´
297·Ö083200ÇóÖú
ÒѾÓÐ3È˻ظ´
Çóµ÷¼Á
ÒѾÓÐ7È˻ظ´
Ò»Ö¾Ô¸±±½»´ó²ÄÁϹ¤³Ì×Ü·Ö358Çóµ÷¼Á
ÒѾÓÐ5È˻ظ´
Ò»Ö¾Ô¸ÄϾ©º½¿Õº½Ìì´óѧ ²ÄÁÏÓ뻯¹¤329·ÖÇóµ÷¼Á
ÒѾÓÐ7È˻ظ´
» ±¾Ö÷ÌâÏà¹Ø¼ÛÖµÌùÍÆ¼ö£¬¶ÔÄúͬÑùÓаïÖú:
MATLABÇó½â·ÇÏßÐÔ·½³Ì×é
ÒѾÓÐ5È˻ظ´
ÄâÅ£¶Ù·¨Çó½â¸´ÔÓ£¨´ø¸ùºÅµÄ£©·ÇÏßÐÔ·½³Ì×é
ÒѾÓÐ17È˻ظ´
ʹÓÃfsolveÇó½â·ÇÏßÐÔ·½³ÌÎÊÌâ
ÒѾÓÐ9È˻ظ´
matlabÇó½â·ÇÏßÐÔ·½³Ì×飬´íÎóÌáʾÔõô½â¾ö
ÒѾÓÐ5È˻ظ´
¼±ÇÐÇóÖú£¡Ò»¸ömathematicaÇó½âÒ»¸ö¼òµ¥Ò»Ôª·ÇÏßÐÔ·½³ÌµÄÎÊÌâ
ÒѾÓÐ4È˻ظ´
ÇóÖúmatlab½â·ÇÏßÐÔ·½³Ì¡£Çó´úÂë
ÒѾÓÐ5È˻ظ´
ÇóÖúmatlab---fsolve½â·ÇÏßÐÔ·½³Ì×é
ÒѾÓÐ6È˻ظ´
1stopt»òmatlabÈçºÎÇó½âÒÔϵķÇÏßÐÔ·½³Ì²¢ÄâºÏ³öÏàÓ¦ÇúÏߣ¿
ÒѾÓÐ13È˻ظ´
matlabÇó½â·ÇÏßÐÔ·½³Ì×飬ÇóÖú£¡
ÒѾÓÐ6È˻ظ´
ÇóÖú£¡matlabÓÃfsolveº¯ÊýÇó½â·ÇÏßÐÔ·½³Ì×éµÄÎÊÌ⣡
ÒѾÓÐ19È˻ظ´
ÇóÖúÕâ¸ö·ÇÏßÐÔ·½³Ì¸ÄÔõô½â°¡£¿£¿
ÒѾÓÐ4È˻ظ´
matlabÇó½â·ÇÏßÐÔ·½³Ì×é
ÒѾÓÐ16È˻ظ´
Çó¸ßÈËÖ¸µãÓÃmatlabÇó½â·ÇÏßÐÔ·½³Ì×飬½â¾öÁË×·¼Ó100½ð±Ò£»
ÒѾÓÐ11È˻ظ´
ÇóÖú£º·ÇÏßÐÔ·½³ÌϵÊý»Ø¹éÎÊÌ⣿
ÒѾÓÐ10È˻ظ´
matlabµÄfsove ÃüÁîÇó½â·ÇÏßÐÔ·½³Ì×é
ÒѾÓÐ6È˻ظ´
¡¾ÇóÖú¡¿ÓÃmathematica 5.0Çó½âÒ»¸ö·ÇÏßÐÔ·½³Ì×éʧ°Ü£¬ÌØ·¢ÌûÇóÖú£¡
ÒѾÓÐ5È˻ظ´
¡¾ÇóÖú¡¿Çó½Ìmatlab½â·ÇÏßÐÔ·½³Ì×é
ÒѾÓÐ9È˻ظ´
¡¾ÇóÖú¡¿Çó½â·ÇÏßÐÔ·½³Ì
ÒѾÓÐ8È˻ظ´
¡¾ÇóÖú¡¿Ò»¸ö·ÇÏßÐÔ·½³Ì×éÇó½âÎÊÌâ
ÒѾÓÐ6È˻ظ´
yongcailiu
½ð³æ (СÓÐÃûÆø)
- Ó¦Öú: 63 (³õÖÐÉú)
- ½ð±Ò: 2283.9
- ºì»¨: 10
- Ìû×Ó: 181
- ÔÚÏß: 250.4Сʱ
- ³æºÅ: 1406563
- ×¢²á: 2011-09-18
- ÐÔ±ð: GG
- רҵ: ¼ÆËãÊýѧÓë¿ÆÑ§¹¤³Ì¼ÆËã
¡¾´ð°¸¡¿Ó¦Öú»ØÌû
¡ï ¡ï
¸Ðл²ÎÓ룬ӦÖúÖ¸Êý +1
malin877: ½ð±Ò+2, ¡ï¡ï¡ïºÜÓаïÖú 2013-04-14 18:05:25
¸Ðл²ÎÓ룬ӦÖúÖ¸Êý +1
malin877: ½ð±Ò+2, ¡ï¡ï¡ïºÜÓаïÖú 2013-04-14 18:05:25
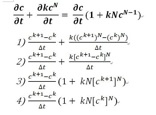
| Ê×ÏÈ£¬Çø·ÖһϷûºÅ£¬c^(k)±íʾµÚk´Îµü´úµÄ½á¹û£¬Ó¦¸ÃºÍµÚÒ»Ðй«Ê½ÖгöÏÖµÄkÇø·Ö¿ª¡£Æä´Î£¬Èç¹ûkÊdz£Êý£¬¼´µÚÒ»Ðй«Ê½³ÉÁ¢µÄ»°£¬ÄÇôµü´ú¹«Ê½³ýÁ˵ڶþ¸ö£¬ÆäËûÈý¸ö£¨ÆäÖеÚÈý¸öºÍµÚËĸöÓ¦¸ÃÊÇN-1´Î·½£¬¶ø²»ÊÇN´Î·½£©¶¼ÊǶԵģ¨Í¬Ñù񻂿·Ök£©¡£×îºó£¬µÚÈý¸ö¸ñʽÊÇÒþʽ¸ñʽ£¬µÚËĸö¸ñʽÊÇÏÔʽ¸ñʽ£¬Ò»°ã¶øÑÔ£¬Ç°ÕßÎȶ¨ÐԺã¬ÐèÒªµü´úÇó½â¡£ |
2Â¥2013-04-11 10:02:26
malin877
гæ (СÓÐÃûÆø)
- Ó¦Öú: 62 (³õÖÐÉú)
- ½ð±Ò: 587.7
- Ìû×Ó: 169
- ÔÚÏß: 65Сʱ
- ³æºÅ: 1270261
- ×¢²á: 2011-04-19
- רҵ: ʯÓÍ¡¢ÌìÈ»ÆøµØÖÊѧ
3Â¥2013-04-14 18:05:10
malin877
гæ (СÓÐÃûÆø)
- Ó¦Öú: 62 (³õÖÐÉú)
- ½ð±Ò: 587.7
- Ìû×Ó: 169
- ÔÚÏß: 65Сʱ
- ³æºÅ: 1270261
- ×¢²á: 2011-04-19
- רҵ: ʯÓÍ¡¢ÌìÈ»ÆøµØÖÊѧ
4Â¥2013-04-14 23:55:41
yongcailiu
½ð³æ (СÓÐÃûÆø)
- Ó¦Öú: 63 (³õÖÐÉú)
- ½ð±Ò: 2283.9
- ºì»¨: 10
- Ìû×Ó: 181
- ÔÚÏß: 250.4Сʱ
- ³æºÅ: 1406563
- ×¢²á: 2011-09-18
- ÐÔ±ð: GG
- רҵ: ¼ÆËãÊýѧÓë¿ÆÑ§¹¤³Ì¼ÆËã
¡¾´ð°¸¡¿Ó¦Öú»ØÌû
¡ï ¡ï
malin877: ½ð±Ò+2, ¡ï¡ï¡ïºÜÓаïÖú 2013-04-18 23:27:29
malin877: ½ð±Ò+2, ¡ï¡ï¡ïºÜÓаïÖú 2013-04-18 23:27:29
|
Ê×ÏÈ£¬Ìû×ÓÖÐÖ»ÊÇÕë¶Ôij¸ö¸ñʽ¸ø³öÁËËüµÄ²î·ÖÐÎʽ£¬µ¥µ¥ÕâЩÊDz»ÄÜÇó½âµÄ(Èç3x^2+x), Òò´Ë³ýÁËÐèÒª°ÑÕâ¸ö΢·Ö·½³ÌµÄ¸ñʽÏêϸµÄ¸ø³ö£¬¼´³ýÁË×ó¶ËÏîÒÔ¼°µÈ¼ÛÏÈçÌû×ÓÖиø³öµÄÄÇÑù£©Í⣬»¹ÐèÒª¸ø³öÓÒ¶ËÏî²ÅÄÜʹÓÃÊýÖµ·½·¨µü´úÇó½â¡£Èç¹ûÁ½ÖÖÊýÖµ¸ñʽ¶¼ÊÕÁ²µ½¾«È·½â£¨µ±È»ÒªÒªÇó½âΨһ£©µÄ»°£¬ÄÇô£¨1£©£¨4£©×îºóµÄ½á¹ûÓ¦¸ÃÊÇÒ»ÑùµÄ£¬ËäÈ»ËüÃǵĵü´ú¸ñʽÂÔÓв»Í¬¡£ |
5Â¥2013-04-15 12:19:13
malin877
гæ (СÓÐÃûÆø)
- Ó¦Öú: 62 (³õÖÐÉú)
- ½ð±Ò: 587.7
- Ìû×Ó: 169
- ÔÚÏß: 65Сʱ
- ³æºÅ: 1270261
- ×¢²á: 2011-04-19
- רҵ: ʯÓÍ¡¢ÌìÈ»ÆøµØÖÊѧ
6Â¥2013-04-18 23:27:17
yongcailiu
½ð³æ (СÓÐÃûÆø)
- Ó¦Öú: 63 (³õÖÐÉú)
- ½ð±Ò: 2283.9
- ºì»¨: 10
- Ìû×Ó: 181
- ÔÚÏß: 250.4Сʱ
- ³æºÅ: 1406563
- ×¢²á: 2011-09-18
- ÐÔ±ð: GG
- רҵ: ¼ÆËãÊýѧÓë¿ÆÑ§¹¤³Ì¼ÆËã
¡¾´ð°¸¡¿Ó¦Öú»ØÌû
¡ï
malin877: ½ð±Ò+1, ¡ï¡ï¡ïºÜÓаïÖú 2013-04-22 18:31:34
malin877: ½ð±Ò+1, ¡ï¡ï¡ïºÜÓаïÖú 2013-04-22 18:31:34
|
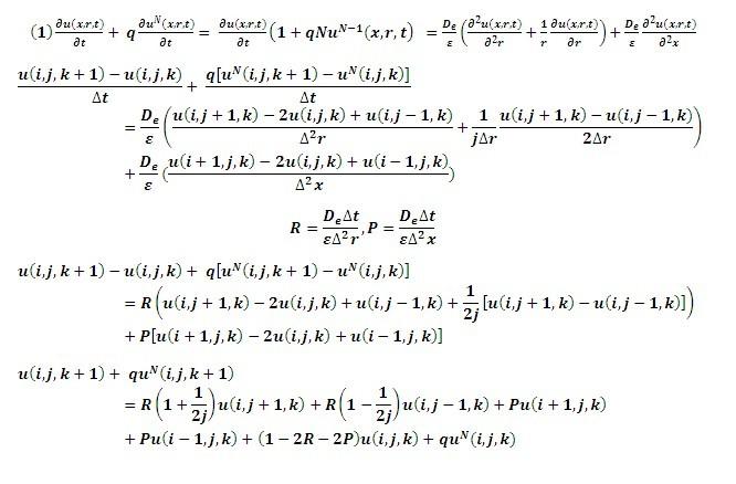
ֻ˵µÚÒ»¸öʽ×Ó£¬ÎÒ¾õµÃ£¬ÓҶ˵ĵڶþÏîÁ½¸öÊýÏà³ËµÄµÚÒ»¸ö·ÖĸӦ¸ÃÊÇr_j£¨µ±È»Èç¹ûr´Ó0¿ªÊ¼£¬²½³¤Îªdelta t,ÄÇôÕâ¸ö½á¹û´ÓÐÎʽÉÏÀ´¿´Ã»ÎÊÌ⣬ÖÁÓÚÊÕÁ²ÐÔÁîµ±±ðÂÛ£¬ÊýÖµ½á¹ûºÃ¾Í½ÓÊÜ£¬²»ºÃµÄ»°¾ÍÓ¦¸Ã¿¼Âǹ¹ÔìÆäËûµÄ¸ñʽ£© ¡£ºóÃæµÄ²¿·ÖÄã´úÈë×Ô¼ºÍƵ¼Ò»Ï°ɣ¬Ã²ËÆÎÊÌâ²»´ó |
7Â¥2013-04-19 12:44:26
malin877
гæ (СÓÐÃûÆø)
- Ó¦Öú: 62 (³õÖÐÉú)
- ½ð±Ò: 587.7
- Ìû×Ó: 169
- ÔÚÏß: 65Сʱ
- ³æºÅ: 1270261
- ×¢²á: 2011-04-19
- רҵ: ʯÓÍ¡¢ÌìÈ»ÆøµØÖÊѧ
8Â¥2013-04-22 18:31:43














»Ø¸´´ËÂ¥