| 查看: 1566 | 回复: 5 | |||
lgycjpcqu金虫 (正式写手)
|
[求助]
常微分方程解析解 已有2人参与
|
|
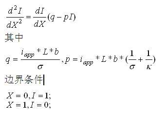
如图所示形式的二阶常微分方程边值问题,我用MATLAB可以求得数值解,但是老板需要解析解,请教各位数学专业虫友,这个方程的解析解该怎么求,里面除了I和X其它变量全部按照常数处理,多谢啦! 方程.jpg |
» 猜你喜欢
085600材料与化工301分求调剂院校
已经有5人回复
081700,311,求调剂
已经有15人回复
一志愿北京化工085600 310分求调剂
已经有18人回复
材料与化工371求调剂
已经有14人回复
336材料与化工085600求调剂
已经有7人回复
材料334求调剂
已经有18人回复
331求调剂
已经有8人回复
332求调剂
已经有17人回复
一志愿南京航空航天大学 材料与化工329分求调剂
已经有4人回复
材料专硕322
已经有7人回复
» 本主题相关价值贴推荐,对您同样有帮助:
常微分方程求解公式
已经有7人回复
mathcad怎样用四阶龙格库塔法求解二阶微分方程?
已经有8人回复
用mathematics解方程组
已经有19人回复
这个方程组怎么解啊
已经有14人回复
微分方程解,解的稳定性及相关分析
已经有7人回复
数学二考不考全微分方程,急急急
已经有13人回复
“数值分析”、“数值解法”等中常出现的“数值”一词是什么意思?
已经有17人回复
请问如何求解二元一阶微分方程组
已经有24人回复
关于微分方程,请问什么叫自治系统?什么叫非自治系统?二者是怎么定义的??
已经有15人回复
常微分方程(ODEs)的MATLAB数值解法
已经有119人回复
【求助】急求各位大侠,关于用ode45解微分方程
已经有8人回复
【求助】请教非齐次常微分方程组的解析解法
已经有4人回复
【求助】四阶Rouge-Kutta法可以解这样的非线性微分方程吗?
已经有6人回复
【求助】请教二阶微分方程的特解(含初始条件)
已经有8人回复
【讨论】【求助】一个微分方程的解
已经有7人回复
【求助】先解常微分方程 然后画图【已完结】
已经有11人回复
【求助】常微分方程组的解析解
已经有3人回复
【求助】如何解这个常微分方程【已完结】
已经有9人回复
【求助】一个常微分方程的通解
已经有6人回复
feixiaolin
荣誉版主 (文坛精英)
-

专家经验: +518 - 应助: 942 (博后)
- 贵宾: 1.275
- 金币: 3880
- 散金: 58785
- 红花: 532
- 沙发: 11
- 帖子: 24215
- 在线: 2601.8小时
- 虫号: 2139575
- 注册: 2012-11-21
- 专业: 光学信息获取与处理
- 管辖: 数学
2楼2013-12-20 16:07:15
lgycjpcqu
金虫 (正式写手)
- 应助: 35 (小学生)
- 金币: 566.8
- 散金: 411
- 帖子: 371
- 在线: 176.9小时
- 虫号: 1327328
- 注册: 2011-06-20
- 性别: GG
- 专业: 电化学
3楼2013-12-20 16:51:55
feixiaolin
荣誉版主 (文坛精英)
-

专家经验: +518 - 应助: 942 (博后)
- 贵宾: 1.275
- 金币: 3880
- 散金: 58785
- 红花: 532
- 沙发: 11
- 帖子: 24215
- 在线: 2601.8小时
- 虫号: 2139575
- 注册: 2012-11-21
- 专业: 光学信息获取与处理
- 管辖: 数学
4楼2013-12-20 17:10:17
peterflyer
木虫之王 (文学泰斗)
peterflyer
- 数学EPI: 10
- 应助: 20282 (院士)
- 金币: 146220
- 红花: 1374
- 帖子: 93091
- 在线: 7694.3小时
- 虫号: 1482829
- 注册: 2011-11-08
- 性别: GG
- 专业: 功能陶瓷
【答案】应助回帖
★ ★ ★ ★ ★ ★ ★ ★ ★ ★
感谢参与,应助指数 +1
lgycjpcqu: 金币+10, ★★★很有帮助, 十分感谢您给的推导,小小金币不成敬意 2013-12-21 10:58:26
感谢参与,应助指数 +1
lgycjpcqu: 金币+10, ★★★很有帮助, 十分感谢您给的推导,小小金币不成敬意 2013-12-21 10:58:26
|
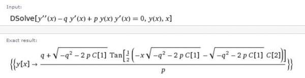
令u=dI/dx, 故d^2I/dx^2=du/dI*u 带入原方程:du/dI*u=u*(q-p*I) 若u≠0,则 du=(q-p*I)*dI u=q*I-p*I^2/2+C' , C'为积分常数。 所以:dI/sqrt{q*I-p*I^2/2+C'}=dx 积分后得到: sqrt(2/p)*arc{I/C-q/(C*p)}=x+D , C、D均为积分常数。 由边界条件,确定出C、D后,代回原方程即得方程的解。 |
5楼2013-12-20 21:17:30
peterflyer
木虫之王 (文学泰斗)
peterflyer
- 数学EPI: 10
- 应助: 20282 (院士)
- 金币: 146220
- 红花: 1374
- 帖子: 93091
- 在线: 7694.3小时
- 虫号: 1482829
- 注册: 2011-11-08
- 性别: GG
- 专业: 功能陶瓷
6楼2013-12-20 21:20:25














回复此楼
lgycjpcqu
10