当前位置:小木虫首页 >> 有机

纤维素表面羟基如何羧基化(与戊二酸酐如何反应)

紫流苏樱雪
纤维素表面羟基如何羧基化(与戊二酸酐如何反应)
有机
  • 200
  • 4

请教一下用氯化锡水合物还原硝基的实验过程及后处理?

虾米呦
化合物结构如图,因为实验室没有氢气,所以导师要我用氯化锡水合物还原,我回流了三个小时后发现没有原料了,但是出现了两个新点,这是不是生成了中间产物,是我回流时间太短了吗?我...
有机
  • 450
  • 9

请问有机实验中手性异构体用什么办法区分

哈哈大侠
如题,最近老师让开展立体异构方向的选择性催化催化课题,楼主不是有机专业的的,请问有机大佬们用什么方法表征手性异构体,我看核磁应该是一样的,无法区分
有机
  • 1850
  • 37

有大神能解释下这个反应吗

1553554725
3-羟基吖丁啶盐酸盐+苯甲酰氯——(①碳酸钾,乙酸乙酯/水②氢氧化钠溶液,THF/甲醇)→3-羟基-N-苯甲酰基吖丁啶——(氢化钠,卞溴四氢呋喃,60℃)→3-苄氧基-N-苯甲酰基吖丁啶
有机
  • 150
  • 3

合成乙酸二硒醚产物总是不纯

王德发aa
最近在合成乙酸二硒醚,合成方法按照文献上来的,产物总是不纯,核磁图里总有一些很高的杂峰,想请教一下大家,合成二硒类的物质过程中需要注意什么?还有产物怎么保存呢?需要严格避光吗?
有机
  • 550
  • 11

急求NBS上溴反应活性太高上了多个溴,怎么抑制反应活性

leiyangxuan
在做一个NBS上溴的反应,在噻吩的2位上溴1.反应条件:避光,室温搅拌过夜,DMF作溶剂,加入1.02当量的NBS,得到了1溴代和2溴代的产物,产物比例是1:1.2.反应...
有机
  • 650
  • 13

酰胺合成求助!!!

chenbin369
小弟最近在成酰胺,试了很多方法也没成,特来求助各位!下图是反应式以及结构,已经试了HATU,HBTU,DCC,EDCI等缩合剂,液质监测都未见产物分子量,大家帮忙支支招。
有机
  • 700
  • 14

环氧和醇羟基反应减少副反应

zhutouaba
各位大神,本人在做环氧与醇羟基反应开环制备醇的反应,现在反应在酸性催化剂作用下可以进行,但问题是催化剂也催化副反应发生,比如环氧在酸性条件下开环聚合,醇与环氧开环后的羟基再去开环等,造成分子量分布很宽,杂志不好除净。请问哪位做过类似反应,如何抑制副反应发生?有...
有机
  • 350
  • 7

甲磺酸叔丁酯合成

zjcgss
哪位做过甲磺酸叔丁酯合成?我用甲磺酰氯和叔丁醇反应,没有产物。谢谢!
有机
  • 850
  • 17

Chem draw画图软件

御锋star
求助最新Chemdraw画图软件,不是最新的也可以,能用就行
有机
  • 350
  • 7

乙酸酐制备酸酐用量的考虑

学员周文业
一个市售项目的优化开发,用乙酸酐制备二元羧酸分子内酸酐。以前用乙酸酐制备酸酐都是直接在乙酸酐中回流的,项目要求降低原料成本和反应后处理废弃物处理方面优化,想在乙酸酐用量上做点文章,问问有没有用乙酸酐当量投料制备酸酐的实验经验的?一般用多少反应比较好?有没有什么...
有机
  • 200
  • 4

求助大神分析一下这个谱图

小九月
请问各位,这个峰型是什么意思?是异构体的原因还是什么的,求助求助……谢谢各位大神。
有机
  • 200
  • 4

氨基与甲基丙烯酰氧基能反应吗

小托马斯
小弟最近在用kh570,上面有烯基和酰氧基,想问一下它能和氨基反应吗'kh570图片'
有机
  • 150
  • 3

苦恼的有机反应

步步为?
为什么实验单投有产物,三个一起投就没产物了呢,想不通哪里出了问题。
有机
  • 550
  • 11

缩醛是否还具有拉电子能力?

dschong
一般的烷基醛,如丁醛。假设做成二甲缩醛后,那么缩醛是否还具备一定的拉电子能力?
有机
  • 250
  • 5

有机化学反应具体方程式

小胡在努力
菜鸟在线求助,怎么写苯并三氮唑被高锰酸钾氧化的具体化学方程式,以及123三氮唑-4,5二羧酸反应生成1-H-1,2,3-三氮唑的具体方程式
有机
  • 150
  • 3

有机合成中的occasional shaking能用搅拌代替吗

liushuang159
一个2003年的Molecules上的文献,做重氮化偶联反应,方法给的是在两天内“Thereactionmixturewaslefttostandatroomtemperaturefortwodayswithoccasionalshaking.”,之前做的时候...
有机
  • 550
  • 11

酯放时间长了还能用吗?

WEI先生
麻烦问下,酯如果打开后放时间长了是不是就不能用了,即使后面一直用盖子盖着。比如钛酸四丁酯或者钛酸异丙酯之类的,请大佬指教,多谢多谢!
有机
  • 350
  • 7

硼氢化钾跟乙醇能不能反应

baotchen
请假一下硼氢化钾跟乙醇能不能反应?有没有这方面的文献
有机
  • 150
  • 3

阳离子表面活性剂重结晶会变成絮状凝胶状吗

风轻水软
目前在合成一种季铵盐阳离子表面活性剂,加入乙酸乙酯重结晶后溶液先浑浊,放入冰箱静置发现溶液恢复澄清状态,烧瓶底部出现一大坨类似凝胶的物质,不是固体也不像是正常的液体。因为质谱这几天不能用,小白一枚第一次做实验,不能判断是否合成出来了,请问大神们出现这种情况大概...
有机
  • 350
  • 7

((1-methylpiperidin-4-yl)methyl)phosphonic acid

liangzaili
有机没有基础,不知道去哪里查反应路线,各位大侠能否给合成路线,谢谢!((1-methylpiperidin-4-yl)methyl)phosphonicacid
有机
  • 300
  • 6

有那么一种东西和方法

此情不待
有那么一种东西,它大量存在于核磁,质谱,以及大板上,但是你就是无法有效将其分离出来。按照文献的方法,我怎么过怎么粘柱子,加了三乙胺,冰醋酸通通不顶用,但是文献上就是简简单单平平淡淡用柱子过出来了,还有很高的产率。用gpc吧,分子量又太小,这样前前后后一个月都在...
有机
  • 350
  • 7

己二腈的水分和酸碱度如何测试

夜神月Zz﹍
水分直接用卡尔费休法就能测吗。会与氧化剂或酸,碱反应吗
有机
  • 1000
  • 20

关于硼酸酯的分离

此情不待
昨天在这里发了求助帖,两个老哥一语惊醒梦中人,我就去搜索了前辈们遇到的关于硼酸酯的问题,现在来总结一下前辈们的经验。1.芳香硼酸酯在板子上容易拖尾,不利于观察产物,可以用三乙胺加到展开剂里方便观察。2.芳香硼酸酯会挂柱子,由于其特殊性,在柱子上还很可能会分解,...
有机
  • 300
  • 6

过氧化氢稳定性的测定

熹微之喜
怎样测定过氧化氢溶液的稳定性,用紫外分析仪应该怎么测我用过氧化氢为主要成分做消毒剂,想测试它的保存时间,应该怎么做呢
有机
  • 200
  • 4

氨基和异氰酸酯反应

sunyao0118
请问一下,氨基与异氰酸酯反应,可以用DMF做溶剂吗?我的一个反应物(两端带氨基的四联苯)溶解度不是很好,目前可溶的溶剂只有DMSO和DMF。请各位指教屏幕截图2021-0...
有机
  • 350
  • 7

氨基+Boc-Glu-OtBu生成酰胺键

好久不丶贱
请教各位大佬关于氨基与Boc-Glu-OtBu生成酰胺键的反应细节,还请救救小弟吧,毕不了业了啊尝试过HATU、DMF、DIEA,通过TLC监测发现只有氨基原料的点,求求了
有机
  • 450
  • 9

氢化铝锂还原酯基

战善123
我现在做的是酯基(和吡啶环相连)的还原,用的是氢化铝锂溶液(1M,THF),加大到1.5当量了,室温反应了12h,为啥还是有大量的原料没有被还原,至少还有60%没有被还原???请求大神们给点建议
有机
  • 300
  • 6

硝化反应条件调整

chaimeilu
本人新手,需要做一个硝化反应,如图,R1,R2都是吸电子基团,要在对位上一个硝基,文献给的是浓硫酸和发烟硝酸(4.2:3ml),70摄氏度反应两小时,但是我们暂时没有发烟...
有机
  • 2650
  • 53

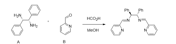
关于席夫碱的合成问题

egoism1
各位前辈们好,想根据文献DOI:10.1002/ejoc.201700772来合成一个配体,奈何前面席夫碱的合成一直不能成功,请问有没有前辈们合成过这个席夫碱的,可以说下...
有机
  • 350
  • 7
下载小木虫APP
与700万科研达人随时交流
  • 二维码
  • IOS
  • 安卓