| ²é¿´: 2385 | »Ø¸´: 12 | ||
[ÇóÖú]
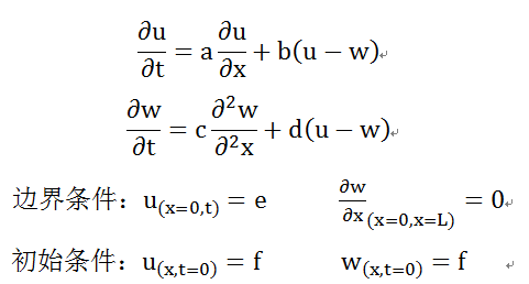
³£ÏµÊý¶þ½×ÏßÐÔÆ«Î¢·Ö·½³Ì×éÔõô½â ÒÑÓÐ2È˲ÎÓë
|
||
|
|
||
| »ØÌûÖ§³Ö ( ÏÔʾ֧³Ö¶È×î¸ßµÄǰ 50 Ãû ) | ||
ÖÕ̫֮µ¶¡ªÏþÌú¸Ëľ³æ (ÖøÃûдÊÖ)
Êýѧ°®ºÃÕß
|
¡¾´ð°¸¡¿Ó¦Öú»ØÌû
¡ï ¡ï ¡ï ¡ï ¡ï
¸Ðл²ÎÓ룬ӦÖúÖ¸Êý +1 tkyrlk: ½ð±Ò+5, ¡ï¡ï¡ïºÜÓаïÖú 2015-05-05 16:49:50
» ±¾ÌûÒÑ»ñµÃµÄºì»¨£¨×îÐÂ10¶ä£© |
|
![]() |
||
|
4Â¥2015-03-15 01:10:52
|
|
|
peterflyer
|
¡¾´ð°¸¡¿Ó¦Öú»ØÌû
¡ï ¡ï ¡ï ¡ï ¡ï
¸Ðл²ÎÓ룬ӦÖúÖ¸Êý +1 tkyrlk: ½ð±Ò+5, ¡ï¡ï¡ïºÜÓаïÖú 2015-05-05 16:49:39
» ±¾ÌûÒÑ»ñµÃµÄºì»¨£¨×îÐÂ10¶ä£© |
|
|
7Â¥2015-03-15 13:25:23
|
|
|
| ÆÕͨ»ØÌû | ||
|
||
|
2Â¥2015-03-14 21:14:03
|
|
|
|
3Â¥2015-03-14 21:24:18
|
|
|
ÖÕ̫֮µ¶¡ªÏþÌú¸Ëľ³æ (ÖøÃûдÊÖ) |
||
|
5Â¥2015-03-15 01:11:42
|
|
|
pippi6Ìú¸Ëľ³æ (ÖøÃûдÊÖ)
¹¤³ÌºÍ¿ÆÑ§ÊýÖµ¼ÆËã×Éѯ
|
||
|
6Â¥2015-03-15 10:44:34
|
|
|
ÖÕ̫֮µ¶¡ªÏþÌú¸Ëľ³æ (ÖøÃûдÊÖ)
Êýѧ°®ºÃÕß
|
||
![]() |
||
|
8Â¥2015-03-15 21:50:07
|
|
|
peterflyer
|
||
|
9Â¥2015-03-16 05:57:26
|
|
|
ÖÕ̫֮µ¶¡ªÏþÌú¸Ëľ³æ (ÖøÃûдÊÖ)
Êýѧ°®ºÃÕß
|
||
![]() |
||
|
10Â¥2015-03-16 07:08:45
|
|
|













»Ø¸´´ËÂ¥
tkyrlk

