| 查看: 1279 | 回复: 6 | |||
[交流]
[求助]求解极座标上的偏微分方程(Laplace’s Equation)!!!! 已有4人参与
|
» 本主题相关价值贴推荐,对您同样有帮助:
请教如下偏微分方程如何求解
已经有6人回复
偏微分方程Matlab求解
已经有7人回复
变系数偏微分方程matlab求解
已经有6人回复
求助非线性常微分方程和常系数双曲偏微分方程求解
已经有7人回复
偏微分方程求解!
已经有4人回复
COMSOL例题库中(shallow-water-equation)偏微分方程求解问题
已经有3人回复
求解一个二阶偏微分方程~~有结果,但是不知道中间过程(完美解决者答谢100¥)~
已经有4人回复
抛物型偏微分方程的数值解求解问题,谢谢!
已经有14人回复
数学物理方程求解!(带边界条件的偏微分方程)
已经有13人回复
Matlab求解二阶偏微分方程组,希望能给出相应的求解代码
已经有10人回复
comsol可直接求解高阶偏微分方程吗?
已经有3人回复
请教用matlab求解一个非线性偏微分方程组的数值解
已经有8人回复
求助 一阶线性偏微分方程 拉格朗日法求解
已经有6人回复
matlab有限差分法求解复杂的偏微分方程组
已经有19人回复
偏微分方程求解
已经有3人回复
Matlab求解偏微分方程组
已经有22人回复
【求助】用pdepe求解偏微分方程
已经有10人回复
【求助】MATLAB 有限差分法(FDM)求解偏微分方程
已经有22人回复
【求助】如何求解下列偏微分方程
已经有13人回复
【求助】matlab怎么求解偏微分方程组啊,先谢谢了
已经有13人回复
【求助】有限元法求解二阶偏微分方程组
已经有6人回复
【分享】PDECOL-经典数值求解非线性偏微分方程组源程序
已经有142人回复
【资源】一本关于mathcad与常,偏微分方程求解的书
已经有10人回复
peterflyer
木虫之王 (文学泰斗)
peterflyer
- 数学EPI: 10
- 应助: 20282 (院士)
- 金币: 146223
- 红花: 1374
- 帖子: 93091
- 在线: 7694.3小时
- 虫号: 1482829
- 注册: 2011-11-08
- 性别: GG
- 专业: 功能陶瓷
★
小木虫: 金币+0.5, 给个红包,谢谢回帖
小木虫: 金币+0.5, 给个红包,谢谢回帖
|
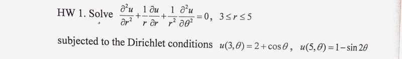
令u=R*C,带入原方程, Θ*d^2R/dr^2+1/r*Θ*dR/dr+1/r^2*R*d^2Θ/dθ^2=0, 两边同乘以r^2/R*Θ≠0, r^2/R*d^2R/dr^2+r/(R)*dR/dr=-1/Θ*d^2Θ/dθ^2≡a^2 (1) 其中a为实积分常数。 由 -1/Θ*d^2Θ/dθ^2≡a^2 得到: Θ=A*Cos(a*θ)+B*Sin(a*θ) 由于θ=θ时和θ=θ+2*k*π时,Θ取同样的值,因此 a=0,±1,±2,±3,±4,.......,即a为整数。 由 r^2*d^2R/dr^2+r*dR/dr+a^2*R=0得到: R=C*r^a+D*r^(-a) |
2楼2014-08-28 22:52:06
cooooldog
铁杆木虫 (著名写手)
ส็็็
- 数学EPI: 2
- 应助: 237 (大学生)
- 金币: 6101.9
- 散金: 1114
- 红花: 39
- 帖子: 1380
- 在线: 553.8小时
- 虫号: 506699
- 注册: 2008-02-18
- 专业: 模式识别

3楼2014-08-29 14:43:56
|
4楼2014-08-29 17:59:06
Mr__Right
专家顾问 (著名写手)
-

专家经验: +31 - 数学EPI: 1
- 应助: 317 (大学生)
- 金币: 14456.3
- 散金: 500
- 红花: 54
- 帖子: 2716
- 在线: 950.6小时
- 虫号: 1972612
- 注册: 2012-09-04
- 性别: GG
- 专业: 应用数学方法
- 管辖: 程序语言

5楼2014-08-30 08:01:52
peterflyer
木虫之王 (文学泰斗)
peterflyer
- 数学EPI: 10
- 应助: 20282 (院士)
- 金币: 146223
- 红花: 1374
- 帖子: 93091
- 在线: 7694.3小时
- 虫号: 1482829
- 注册: 2011-11-08
- 性别: GG
- 专业: 功能陶瓷
6楼2014-08-30 17:28:47
cooooldog
铁杆木虫 (著名写手)
ส็็็
- 数学EPI: 2
- 应助: 237 (大学生)
- 金币: 6101.9
- 散金: 1114
- 红花: 39
- 帖子: 1380
- 在线: 553.8小时
- 虫号: 506699
- 注册: 2008-02-18
- 专业: 模式识别

7楼2014-08-30 17:37:28
















回复此楼