| 查看: 1484 | 回复: 3 | ||
[求助]
COMSOL例题库中(shallow-water-equation)偏微分方程求解问题
|
|
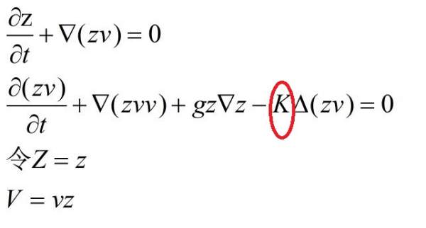
原偏微分方程组如下: 求解输入过程如下: 两个问题: 1. da 后面的四个空为什么要这么设置?什么意思 我觉得da后面应该分别写两个方程一阶导数的系数,两个空就够,要4个干嘛? 2. 厂的第二个空为什么要写成V^2/Z-K*Vx,需要写x吗?我觉得不用 新手初来乍到,望大家畅所欲言,谢谢 |
» 猜你喜欢
304求调剂
已经有3人回复
材料专硕306英一数二
已经有3人回复
0703化学调剂
已经有3人回复
环境工程调剂
已经有3人回复
283求调剂
已经有10人回复
290求调剂
已经有10人回复
321求调剂
已经有4人回复
326求调剂
已经有5人回复
东南大学364求调剂
已经有4人回复
085600材料与化工 求调剂
已经有13人回复
» 本主题相关价值贴推荐,对您同样有帮助:
COMSOL多场耦合求解问题
已经有3人回复
comsol瞬态求解步长设定
已经有12人回复
偏微分方程求解 ode45或者pdepe都行
已经有4人回复
有木有虫子学过2+1维偏微分方程求解的啊急求!!!谢谢了!
已经有3人回复
comsol设置的求解时间长了,没法求解
已经有14人回复
抛物型偏微分方程的数值解求解问题,谢谢!
已经有14人回复
comsol可直接求解高阶偏微分方程吗?
已经有3人回复
求解偏微分方程
已经有7人回复
请教用matlab求解一个非线性偏微分方程组的数值解
已经有8人回复
求助 一阶线性偏微分方程 拉格朗日法求解
已经有6人回复
matlab有限差分法求解复杂的偏微分方程组
已经有19人回复
Matlab求解偏微分方程组
已经有22人回复
请问有谁在用comsol4.2,小弟请教些问题,谢谢
已经有9人回复
comsol4.2无法创建三维图问题
已经有5人回复
数值方法求解偏微分方程的问题
已经有4人回复
【求助】用pdepe求解偏微分方程
已经有10人回复
【求助】MATLAB 有限差分法(FDM)求解偏微分方程
已经有22人回复
【求助】comsol可以求解无量纲的偏微分方程吗?
已经有9人回复
【求助】请教COmsol求解问题
已经有10人回复
【求助】matlab怎么求解偏微分方程组啊,先谢谢了
已经有13人回复
【求助】如何求解这个偏微分方程【已搜无重复】
已经有5人回复
【求助】有限元法求解二阶偏微分方程组
已经有6人回复


2楼2013-10-30 21:50:41

3楼2013-10-30 21:51:10

4楼2013-10-30 22:03:28













回复此楼