| 查看: 794 | 回复: 3 | |||
amygod木虫 (正式写手)
|
[求助]
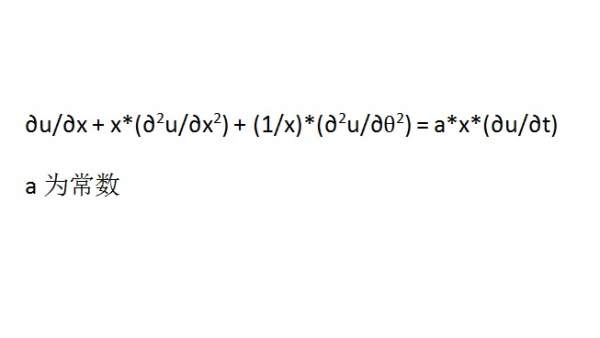
有木有虫子学过2+1维偏微分方程求解的啊急求!!!谢谢了!
|
||
|
|
|||
feixiaolin荣誉版主 (文坛精英)
|
|||
|
2楼2013-10-08 20:39:48
|
|
||
amygod木虫 (正式写手)
|
|||
|
3楼2013-10-08 22:19:20
|
|
||
|
4楼2013-10-09 09:24:48
|
|














回复此楼