| 查看: 2224 | 回复: 6 | ||
[求助]
求助 一阶线性偏微分方程 拉格朗日法求解
|
|
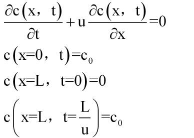
本人要求解下面的一阶线性偏微分方程,看了很多文献知道拉格朗日在七几年时候发表了文章可以求解类似的方程,可是找到文献是用法语写的,而且本人非数学专业出身,有些公式看起来比较困难,难以类推到我的公式上。望懂得此方面内容的大牛们前来帮忙,多谢多谢啦! 待求解公式 其中,L,u为常数 [ Last edited by 兔宝贝phoebe on 2012-6-9 at 15:22 ] |
» 猜你喜欢
售SCI一区文章,我:8 O5 51O 54,科目齐全
已经有3人回复
售SCI一区文章,我:8 O5 51O 54,科目齐全
已经有3人回复
售SCI一区文章,我:8 O5 51O 54,科目齐全
已经有4人回复
售SCI一区文章,我:8 O5 51O 54,科目齐全
已经有3人回复
售SCI一区文章,我:8 O5 51O 54,科目齐全
已经有5人回复
售SCI一区文章,我:8 O5 51O 54,科目齐全
已经有5人回复
售SCI一区文章,我:8 O5 51O 54,科目齐全
已经有5人回复
售SCI一区文章,我:8 O5 51O 54,科目齐全
已经有6人回复
售SCI一区文章,我:8 O5 51O 54,科目齐全
已经有6人回复
售SCI一区文章,我:8 O5 51O 54,科目齐全
已经有6人回复
» 本主题相关价值贴推荐,对您同样有帮助:
求助:量子场论中怎么从欧拉-拉格朗日方程和noether‘s 定理推导出电磁场方程
已经有10人回复
fluent的欧拉-拉格朗日法求助
已经有15人回复
拉格朗日乘子法的相关题目
已经有6人回复
【求助】拉格朗日数乘法
已经有3人回复
【求助】求助拉格朗日方法追踪颗粒扩散
已经有8人回复
【求助】欧拉-拉格朗日方程”(Euler-Lagrange equation)的用途?【已解决】
已经有5人回复
【求助】关于欧拉-拉格朗日方程(Euler-Lagrange equation)【已解决】
已经有11人回复
Pelhans
木虫 (小有名气)
- 应助: 13 (小学生)
- 金币: 1734.7
- 红花: 4
- 帖子: 225
- 在线: 50.8小时
- 虫号: 1442029
- 注册: 2011-10-14
- 性别: GG
- 专业: 粒子物理学和场论

2楼2012-06-09 21:32:29
3楼2012-06-09 21:49:16
4楼2012-06-10 06:39:35
rainbowguy
银虫 (正式写手)
- 应助: 4 (幼儿园)
- 金币: 162.7
- 散金: 327
- 红花: 7
- 帖子: 312
- 在线: 219.2小时
- 虫号: 1107527
- 注册: 2010-09-25
- 性别: GG
- 专业: 污染物行为过程及其环境效
5楼2012-06-10 17:45:54
6楼2012-06-11 17:44:42
onesupeng
金虫 (职业作家)
- 数学EPI: 17
- 应助: 256 (大学生)
- 贵宾: 1.36
- 金币: 2336.2
- 散金: 9224
- 红花: 92
- 帖子: 4583
- 在线: 1303.8小时
- 虫号: 394701
- 注册: 2007-06-07
- 专业: 流体力学

7楼2012-06-27 11:23:26













回复此楼
10