| 查看: 2365 | 回复: 10 | |||
| 本帖产生 1 个 物理EPI ,点击这里进行查看 | |||
[求助]
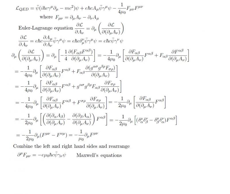
求助:量子场论中怎么从欧拉-拉格朗日方程和noether‘s 定理推导出电磁场方程
|
|||
| 求助:量子场论中怎么从欧拉-拉格朗日方程和noether‘s 定理推导出电磁场方程 |
» 收录本帖的淘帖专辑推荐
青椒不辣 辣椒不青 |
» 猜你喜欢
085602调剂 初试总分335
已经有5人回复
302分 085601求调剂推荐
已经有8人回复
生物学308分求调剂(一志愿华东师大)
已经有10人回复
材料专硕(0856) 339分求调剂
已经有8人回复
085410人工智能 初试316分 求调剂
已经有6人回复
282求调剂
已经有10人回复
070300化学求调剂
已经有17人回复
318求调剂
已经有12人回复
308求调剂
已经有3人回复
315求调剂
已经有3人回复
» 本主题相关价值贴推荐,对您同样有帮助:
fluent的欧拉-拉格朗日法求助
已经有15人回复
【求助】关于欧拉-拉格朗日方程(Euler-Lagrange equation)【已解决】
已经有11人回复
cosmology
金虫 (正式写手)
- 物理EPI: 10
- 应助: 15 (小学生)
- 金币: 1411.3
- 红花: 1
- 帖子: 418
- 在线: 48.6小时
- 虫号: 230145
- 注册: 2006-03-26
- 性别: GG
- 专业: 基础物理学
3楼2012-04-17 19:16:53
cosmology
金虫 (正式写手)
- 物理EPI: 10
- 应助: 15 (小学生)
- 金币: 1411.3
- 红花: 1
- 帖子: 418
- 在线: 48.6小时
- 虫号: 230145
- 注册: 2006-03-26
- 性别: GG
- 专业: 基础物理学
2楼2012-04-17 18:42:43
4楼2012-04-18 10:41:13
5楼2012-04-18 15:59:32
cosmology
金虫 (正式写手)
- 物理EPI: 10
- 应助: 15 (小学生)
- 金币: 1411.3
- 红花: 1
- 帖子: 418
- 在线: 48.6小时
- 虫号: 230145
- 注册: 2006-03-26
- 性别: GG
- 专业: 基础物理学
6楼2012-04-18 17:16:05
7楼2012-04-18 21:20:35
cosmology
金虫 (正式写手)
- 物理EPI: 10
- 应助: 15 (小学生)
- 金币: 1411.3
- 红花: 1
- 帖子: 418
- 在线: 48.6小时
- 虫号: 230145
- 注册: 2006-03-26
- 性别: GG
- 专业: 基础物理学
8楼2012-04-18 21:33:57
9楼2012-04-19 17:54:56
cosmology
金虫 (正式写手)
- 物理EPI: 10
- 应助: 15 (小学生)
- 金币: 1411.3
- 红花: 1
- 帖子: 418
- 在线: 48.6小时
- 虫号: 230145
- 注册: 2006-03-26
- 性别: GG
- 专业: 基础物理学
10楼2012-04-19 19:01:17














回复此楼
von198698