| 查看: 2552 | 回复: 11 | ||
jiangxr314铁虫 (正式写手)
|
[求助]
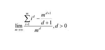
一道极限题,请教高手,急! 已有3人参与
|
|
![]() |
||
|
|
||
| 回帖置顶 ( 共有1个 ) | ||
zywang1999银虫 (小有名气)
|
【答案】应助回帖
★ ★ ★ ★ ★ ★ ★ ★ ★ ★
jiangxr314: 金币+10, ★★★★★最佳答案, 非常感谢 2014-01-05 09:53:17 feixiaolin: 回帖置顶 2014-01-05 19:57:23
|
|
![]() |
||
|
9楼2014-01-05 09:33:34
|
|
|
| 回帖支持 ( 显示支持度最高的前 50 名 ) | ||
|
6楼2014-01-04 10:21:31
|
|
|
hank612至尊木虫 (著名写手)
|
【答案】应助回帖
感谢参与,应助指数 +1
|
|
![]() |
||
|
3楼2014-01-03 12:07:11
|
|
|
Pchief铁杆木虫 (正式写手)
|
||
|
2楼2014-01-03 11:24:12
|
|
|
hank612至尊木虫 (著名写手)
|
||
![]() |
||
|
5楼2014-01-04 05:48:04
|
|
|
zywang1999银虫 (小有名气)
|
||
![]() |
||
|
7楼2014-01-05 08:45:14
|
|
|
hank612至尊木虫 (著名写手)
|
★ ★ ★
feixiaolin: 金币+3 2014-01-05 20:03:43
|
|
![]() |
||
|
10楼2014-01-05 15:51:44
|
|
|
| 普通回帖 | ||
jiangxr314铁虫 (正式写手)
|
||
![]() |
||
|
4楼2014-01-03 12:30:35
|
|
|
zywang1999银虫 (小有名气)
|
||
![]() |
||
|
8楼2014-01-05 08:55:23
|
|
|














回复此楼

5